Предмет: Алгебра,
автор: KoninaBomja
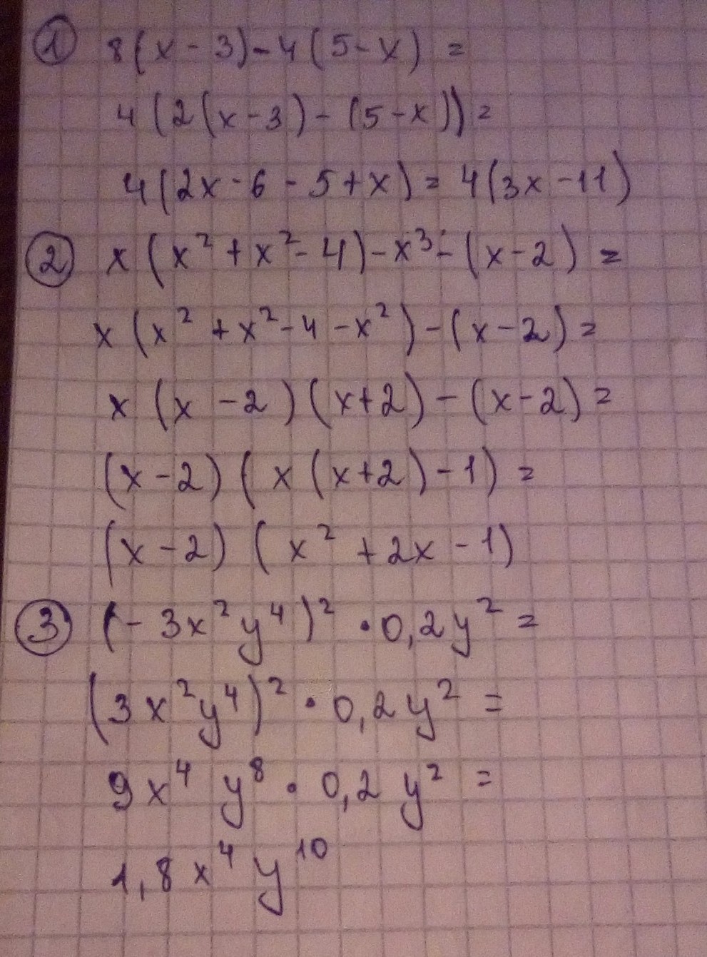
ПОМОГИТЕ ПОЖАЛУЙСТА!!
8*(x-3)-4*(5-x)=?
x*(x²+x²-4)-x³-(x-2)=?
(-3x²y⁴)²*0,2y²=?
Ответы
Автор ответа:
1
....................
Приложения:
Похожие вопросы
Предмет: Қазақ тiлi,
автор: EISEL
Предмет: Русский язык,
автор: nurtileuabsamat
Предмет: Математика,
автор: kiraromanova30
Предмет: Математика,
автор: Аноним