Предмет: Алгебра,
автор: gulya781978
Решите уравнение:
1)(x+9)^2-x(x+8)=1
2) (х-11)^2=(х-7)(х-9)
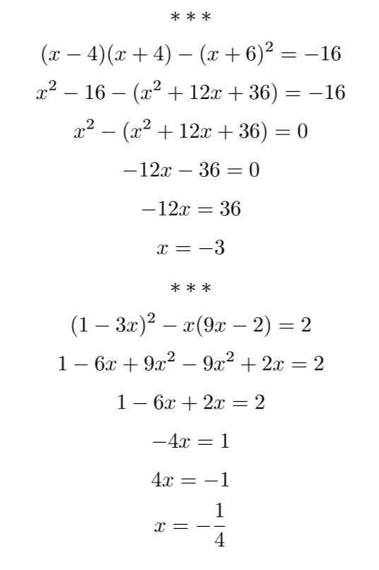
3) (х-4)(х+4)-(х+6)^2=-16
4) (1-3х)^2-х(9х-2)=2
Сделать в word
Ответы
Автор ответа:
0
Если появятся какие-нибудь вопросы — задавайте.
Приложения:
Похожие вопросы
Предмет: История,
автор: aizerebe10
Предмет: Другие предметы,
автор: halikovmars138
Предмет: Английский язык,
автор: as5g4mp69
Предмет: Математика,
автор: manya123456789
Предмет: Химия,
автор: minzy2