Предмет: Алгебра,
автор: Мозговина12
♥♥♥Помогите срочно с алгеброй!!!♥♥♥
П_О_Ж_А_Л_У_Й_С_Т_А_
Приложения:
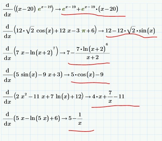
Ответы
Автор ответа:
1
ответ после символа "→". Считал в программе Mathcad.
Приложения:
Похожие вопросы
Предмет: Математика,
автор: Happyhd
Предмет: Английский язык,
автор: Аноним
Предмет: Математика,
автор: cvetok17
Предмет: Математика,
автор: Dimaaao