Предмет: Алгебра,
автор: bbbair100
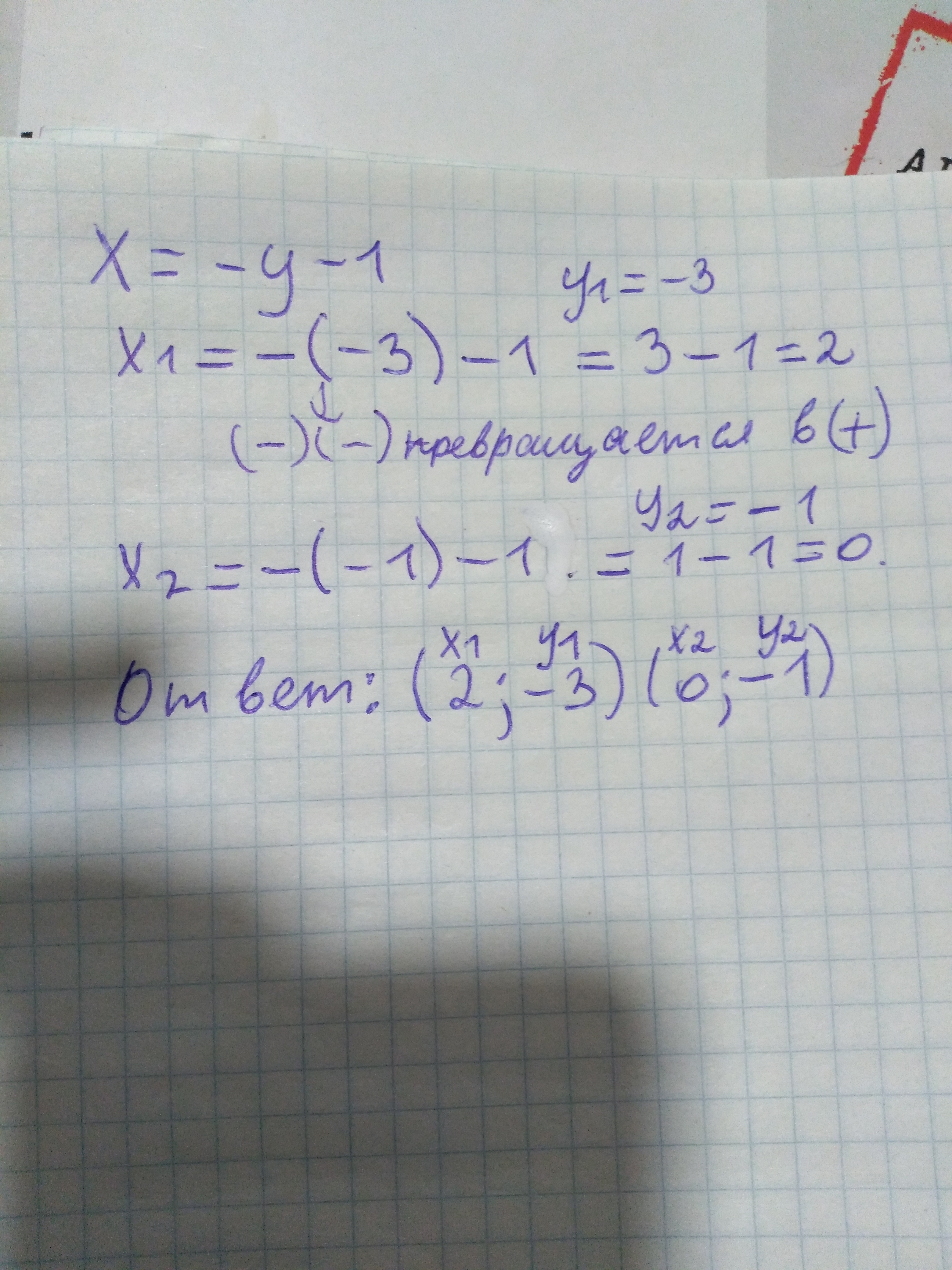
помогите решить систему уравнений
{x^2+2y=-2
{x+y=-1
Ответы
Автор ответа:
1
Вот, ня, обращайтесь
Приложения:
Похожие вопросы
Предмет: География,
автор: nikakolod09
Предмет: Математика,
автор: nurymbetovanigara
Предмет: Английский язык,
автор: lesha12332
Предмет: Математика,
автор: murca8207