Предмет: Алгебра,
автор: Beatres
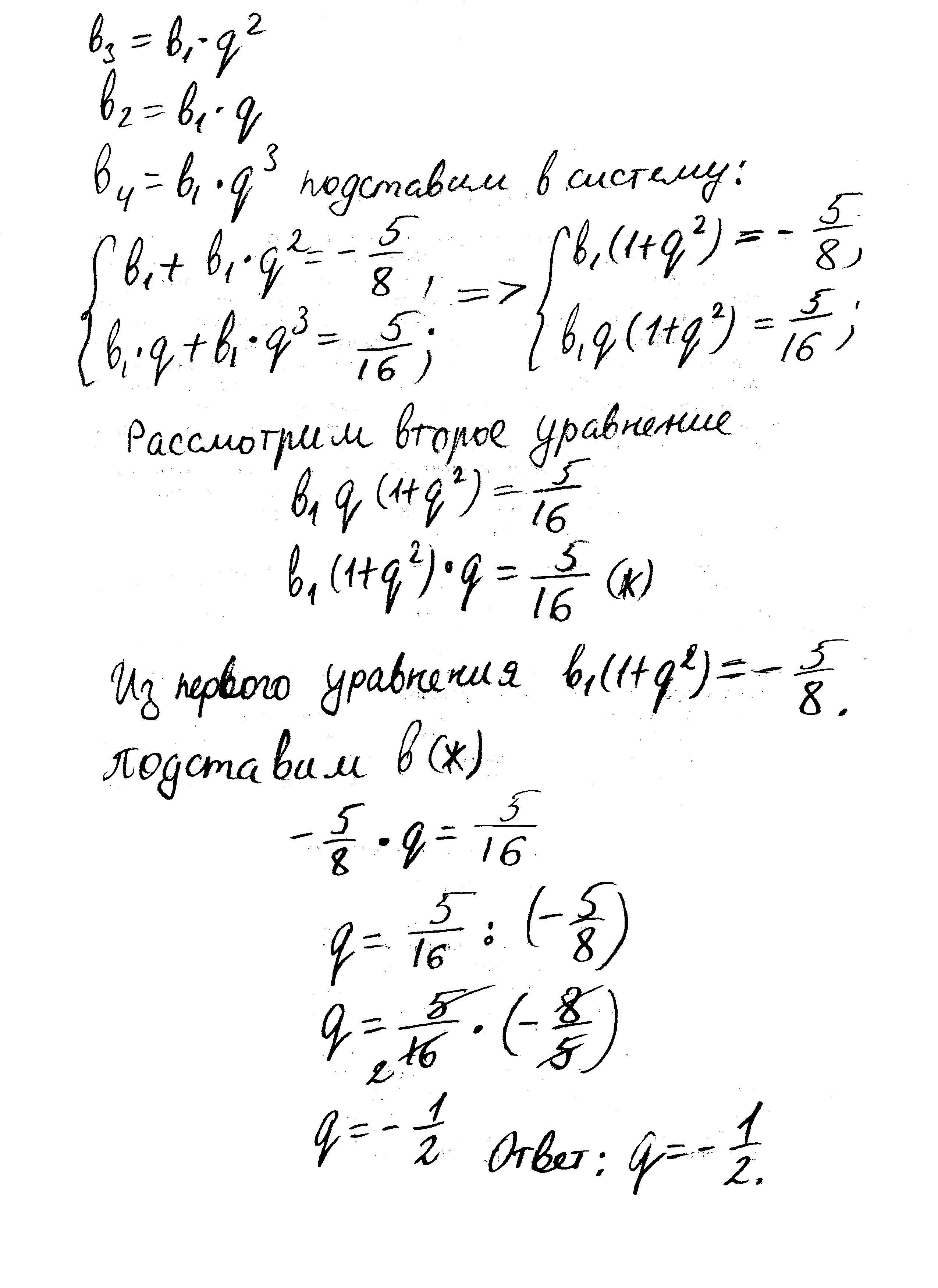
b1 + b3 = - 5/8
b2 + b4 = 5/16
Найдите знаменатель геометрической прогрессии
Ответы
Автор ответа:
2
Ответ: -0,5.
Решение: в приложении
Приложения:
Автор ответа:
2
Ответ на фото///////////
Приложения:
Похожие вопросы
Предмет: Қазақ тiлi,
автор: kab937195
Предмет: Английский язык,
автор: CrazyLovee
Предмет: Математика,
автор: ilyaharin453
Предмет: Обществознание,
автор: AнгелинаСенчило
Предмет: История,
автор: angelinaborisenko