Предмет: Математика,
автор: xlflfllflglg
сравните значение выражения
Приложения:
Ответы
Автор ответа:
2
Ответ:
Пошаговое объяснение:
Приложения:
Автор ответа:
1
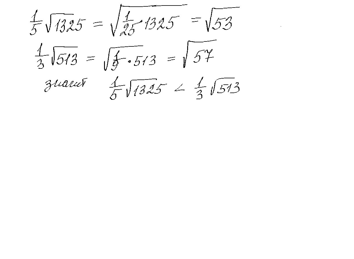
1/5√1325←1/3√513
√1325*1/25(1325и25 сократятся) √513*1/9(513 и 9 сократятся)
√53←√57
Похожие вопросы
Предмет: Қазақ тiлi,
автор: ara8874
Предмет: Қазақ тiлi,
автор: baykalkitik
Предмет: Русский язык,
автор: danilresetilenko6
Предмет: Математика,
автор: Tural11111
Предмет: Физика,
автор: Gamerstix