Предмет: Математика,
автор: polinaaa01
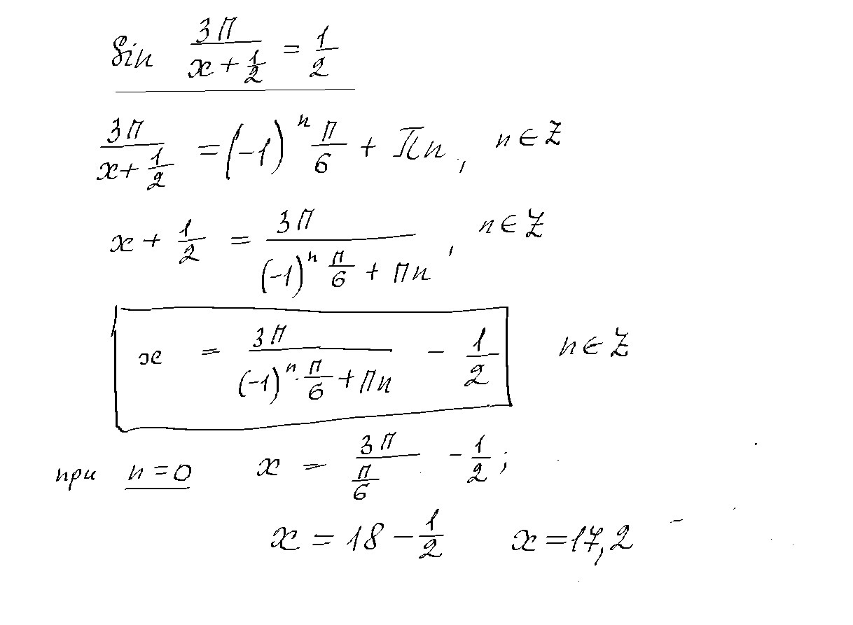
Решите уравнение: sin 3π/(x+1)=1/2.
В ответе запишите Наибольший положительный корень
Ответы
Автор ответа:
0
Ответ:
Пошаговое объяснение:
Приложения:
vavdovina55:
в конце ошиблась 17, 5
В знаменателе (x+1)
да, невнимательно списала, значит в конце х= 18-1=17
Похожие вопросы
Предмет: Математика,
автор: kupreeva1981
Предмет: Химия,
автор: alzhan004
Предмет: Математика,
автор: viktoriasahibgareeva
Предмет: История,
автор: anel1603