Предмет: Алгебра,
автор: Салатикус
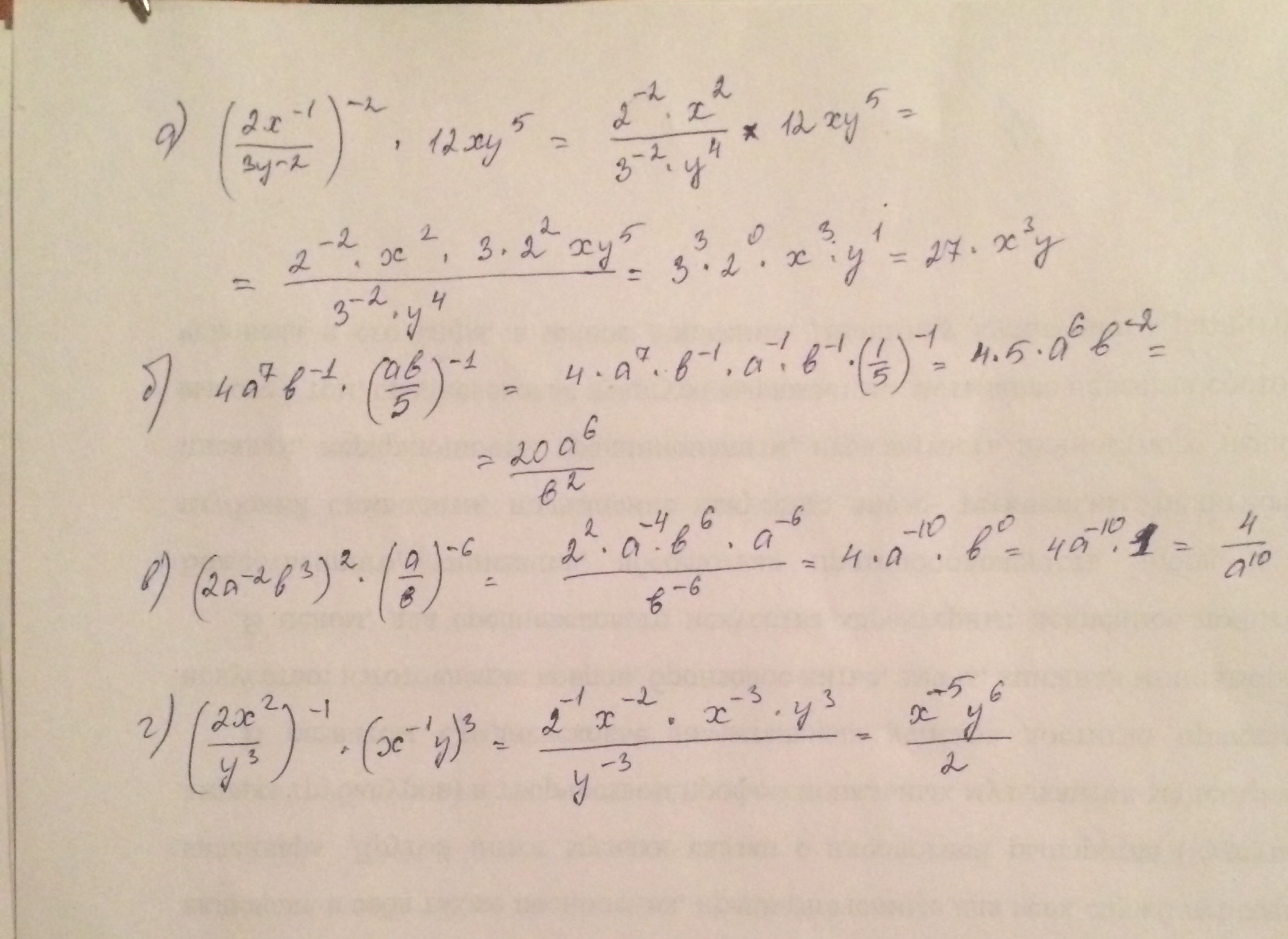
Решите пожалуйста с решением:) номер 1008
Приложения:
Ответы
Автор ответа:
2
///////////////////////////////////
Приложения:
Похожие вопросы
Предмет: Математика,
автор: brokerhurt6
Предмет: Окружающий мир,
автор: killindiekid
Предмет: Английский язык,
автор: maverbin
Предмет: Алгебра,
автор: KomarOtlichik
Предмет: Биология,
автор: dasha232315