Предмет: Алгебра,
автор: aytboec
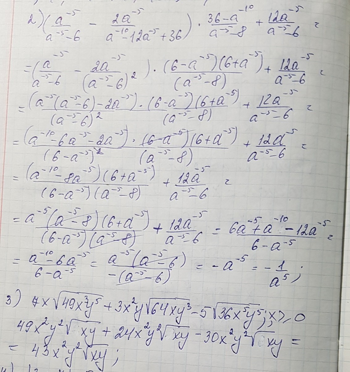
Срочно нужно решение и ответ
Приложения:
Ответы
Автор ответа:
1
решение задания смотри на фотографии
Приложения:
Похожие вопросы
Предмет: Физика,
автор: zhanarbektimur
Предмет: Математика,
автор: nvhxd5vckx
Предмет: Биология,
автор: lanavejsner
Предмет: Геометрия,
автор: SashsLesnikova
Предмет: Алгебра,
автор: GrandAzazel