Предмет: Алгебра,
автор: vasavasa09
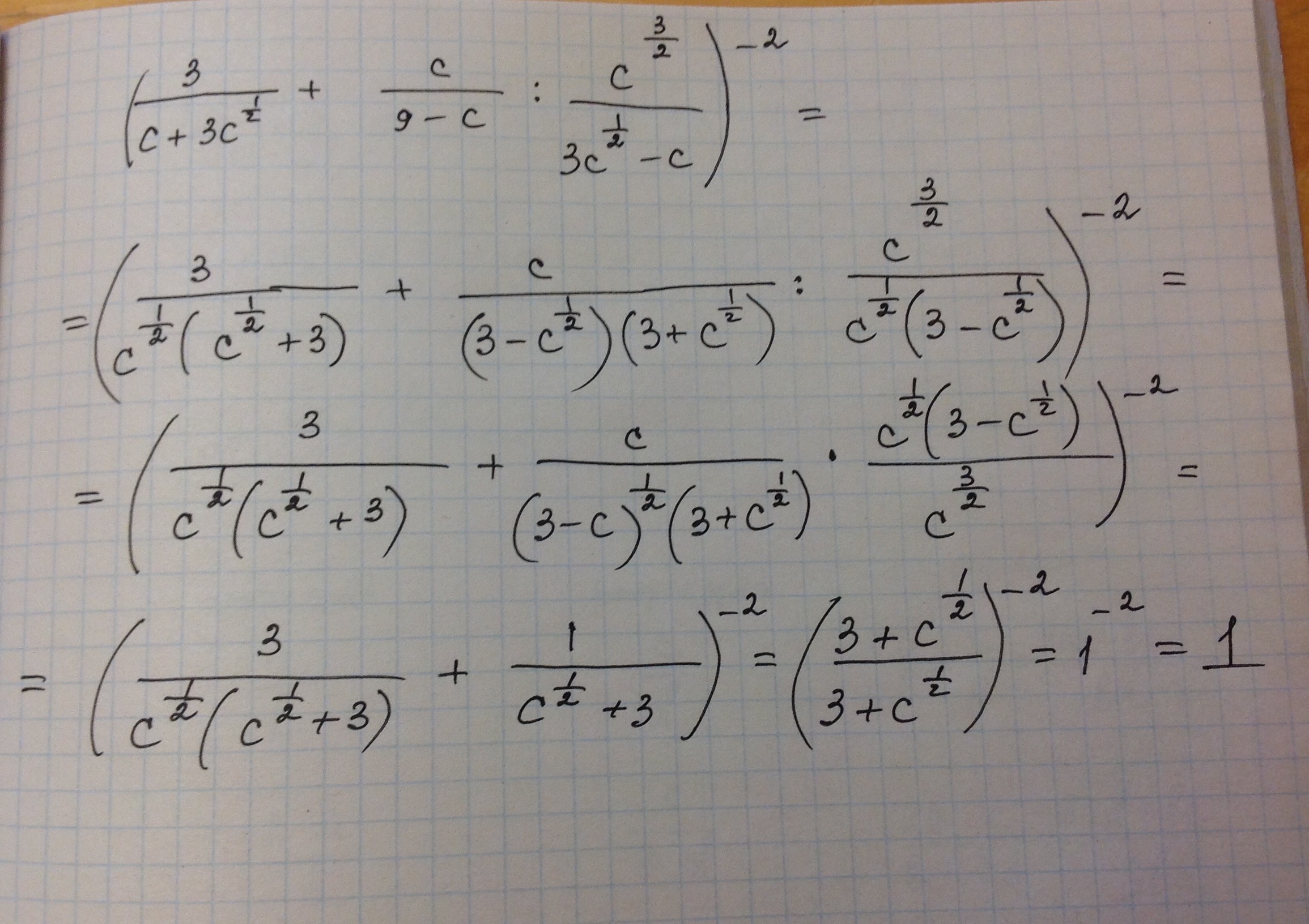
Помогите пожалуйста упростить выражение
Приложения:
Ответы
Автор ответа:
0
Ответ на фото//////////
Приложения:
Похожие вопросы
Предмет: Химия,
автор: mariabeneduk62
Предмет: История,
автор: polina55684
Предмет: Физика,
автор: mrvar236
Предмет: Литература,
автор: Egorka228336
Предмет: Математика,
автор: arkus1