Предмет: Литература,
автор: amiryulchiev62
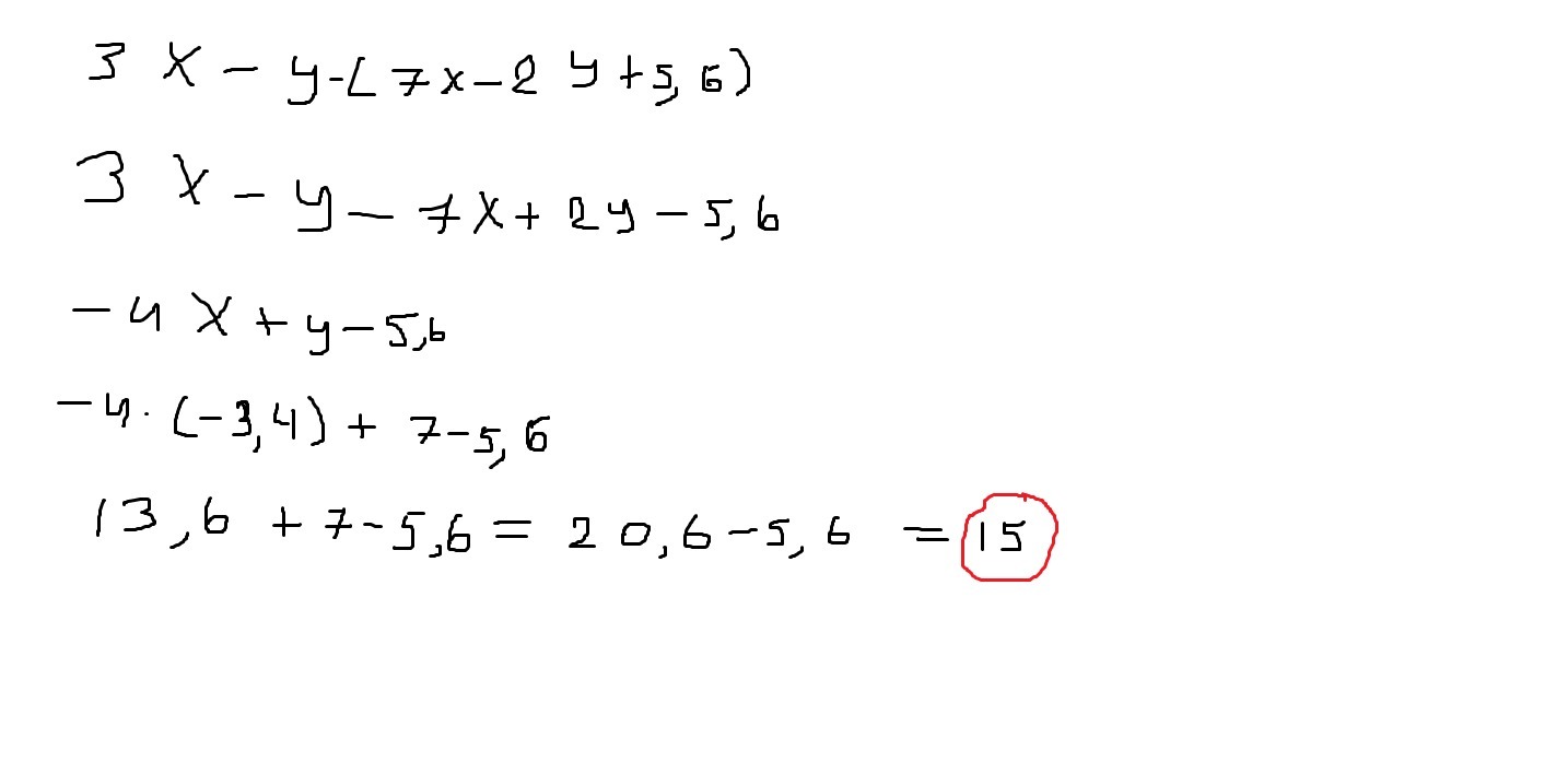
3x-y-(7x-2y+5,6)при x=-3,4; y=7
Ответы
Автор ответа:
0
Легко и просто.Вроде правильно решил
Приложения:
Похожие вопросы
Предмет: Химия,
автор: dDeVoChKa
Предмет: История,
автор: mlgladkih
Предмет: География,
автор: sofia123357
Предмет: Математика,
автор: Iikovatanya101
Предмет: Биология,
автор: lala3000