Предмет: Алгебра,
автор: Аноним
помагите со 2.Пожалуйста
Приложения:
Ответы
Автор ответа:
1
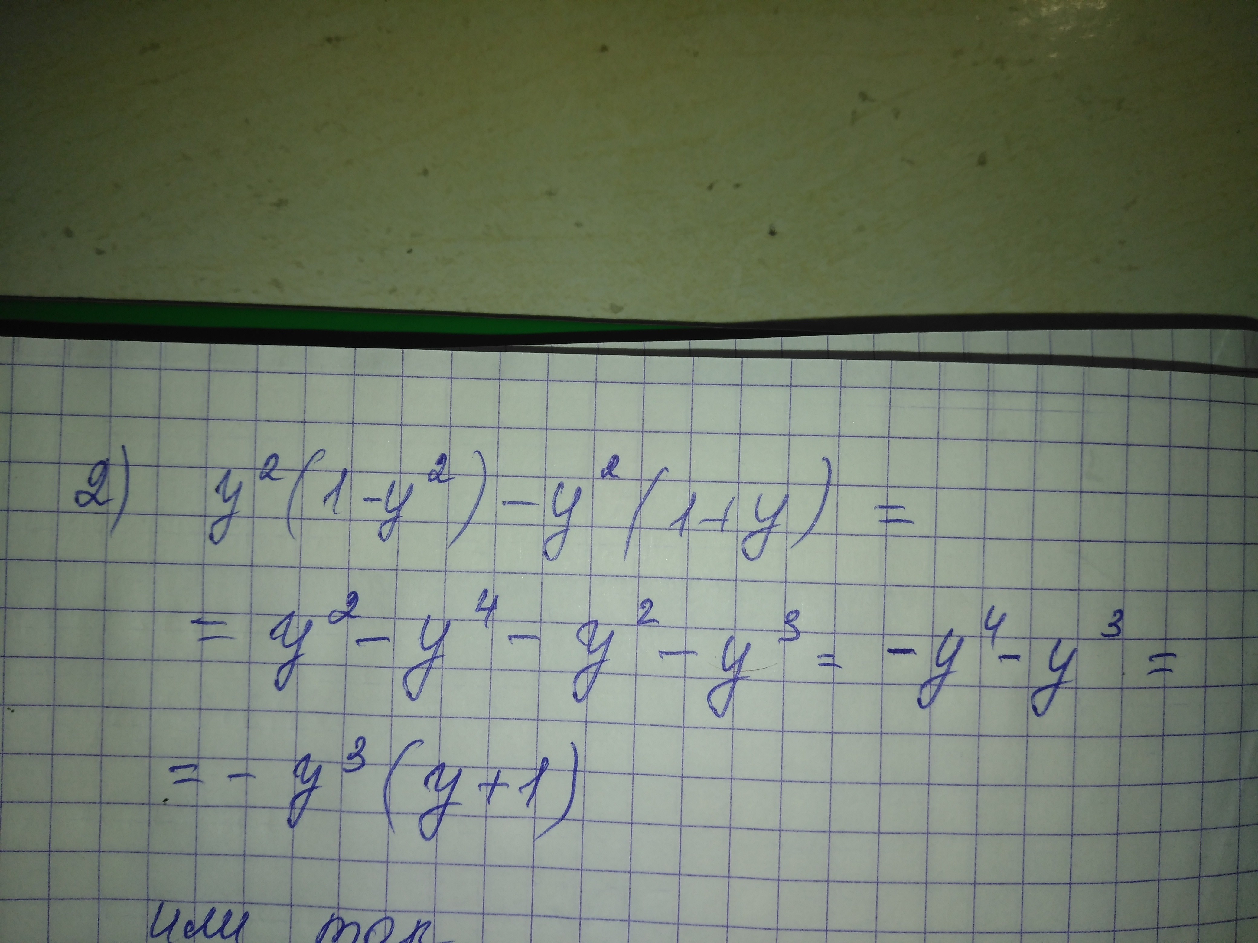
y²(1-y²)-y²(1+y)
y²-y⁴-y²-y³
y² и -у² сокращается
-у⁴-у³
-у³(у+1)
y²-y⁴-y²-y³
y² и -у² сокращается
-у⁴-у³
-у³(у+1)
MizoriesKun:
Подправьте ответ
ах точно спасибо
Автор ответа:
1
Смотри..................
Приложения:
Похожие вопросы
Предмет: Русский язык,
автор: garpi090
Предмет: Математика,
автор: ioanatosheva
Предмет: Русский язык,
автор: Mother07
Предмет: Геометрия,
автор: casazara