Предмет: Алгебра,
автор: spoiledkitten
Регите быстро!!! Хоть что нибудь
Приложения:
Ответы
Автор ответа:
2
А3 не уверен, задание не понял
Приложения:
Автор ответа:
1
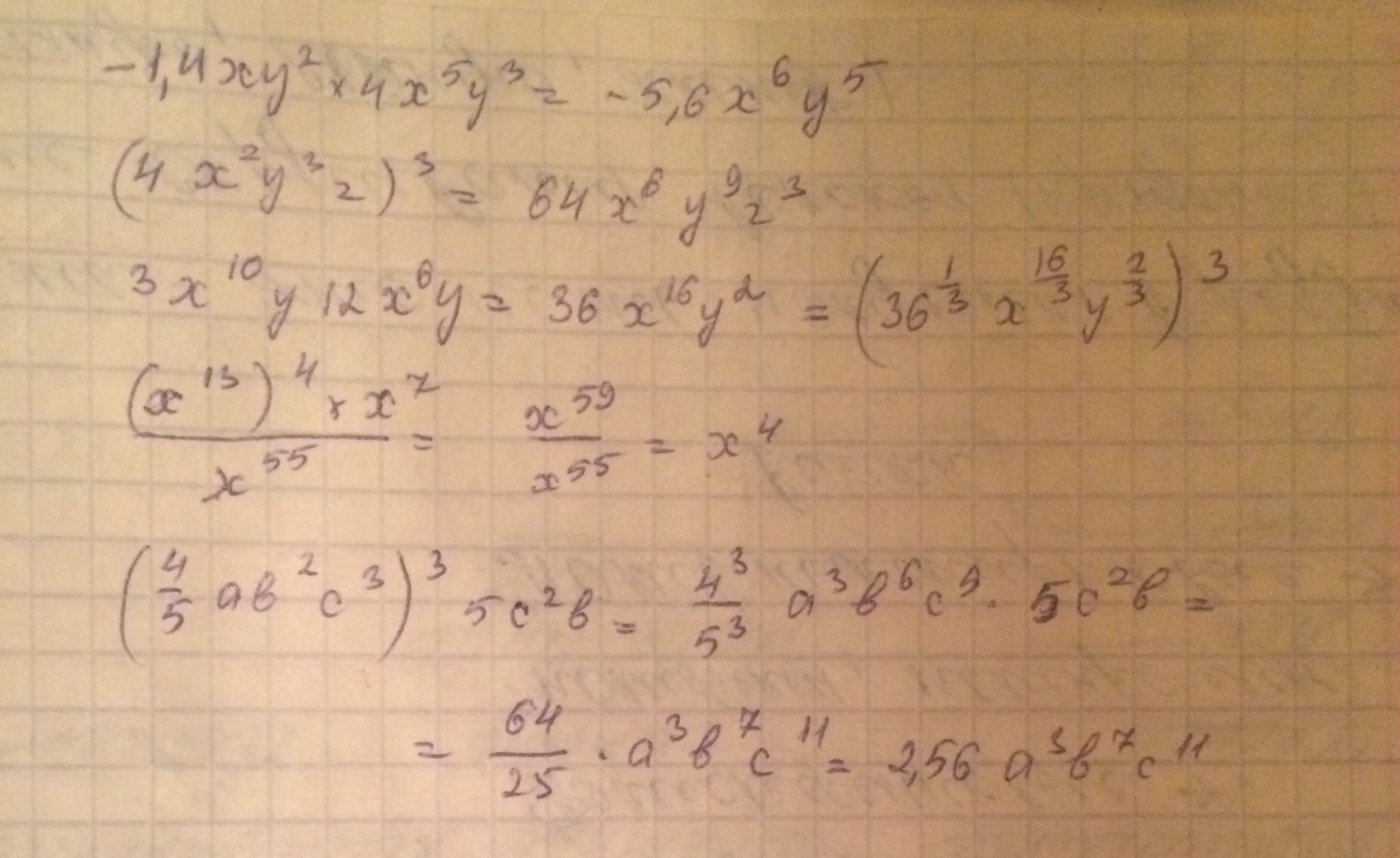
1) -5,6x^6y^5
2) 64x^6*y^9*z^3
4)
x^52*x^7/x^55=x^59/x^55=x^4=3^4=81
2) 64x^6*y^9*z^3
4)
x^52*x^7/x^55=x^59/x^55=x^4=3^4=81
Похожие вопросы
Предмет: Русский язык,
автор: balerinaleroshka
Предмет: Математика,
автор: seregasukin1
Предмет: Математика,
автор: Emmacha
Предмет: Математика,
автор: Krasava1111
Предмет: Математика,
автор: 12ksenia12553564346