Предмет: Алгебра,
автор: 29282
ПОМОГИТЕ, АЛГЕБРА СРООЧНОО
Приложения:
Ответы
Автор ответа:
1
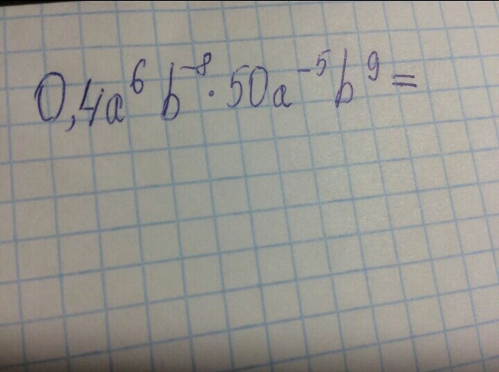
0,4a^6b^-8*50a^-5b^9=20ab
танятина:
^-значок степени
знаю
спасибо
всегда пожалуйста)
а можно с решением
??
сек
ты 0,4 умножаешь на 20
ок
а степени складываются
Автор ответа:
1
ответ получается 20а^1б^1
Похожие вопросы
Предмет: Русский язык,
автор: Аноним
Предмет: Музыка,
автор: isltimus2009
Предмет: Английский язык,
автор: shendelrimma
Предмет: Математика,
автор: NOSOЧЕК666
Предмет: Математика,
автор: Печенька809890