Предмет: Алгебра,
автор: РуУр
Решите уравнение. 11 класс.
Приложения:
Ответы
Автор ответа:
1
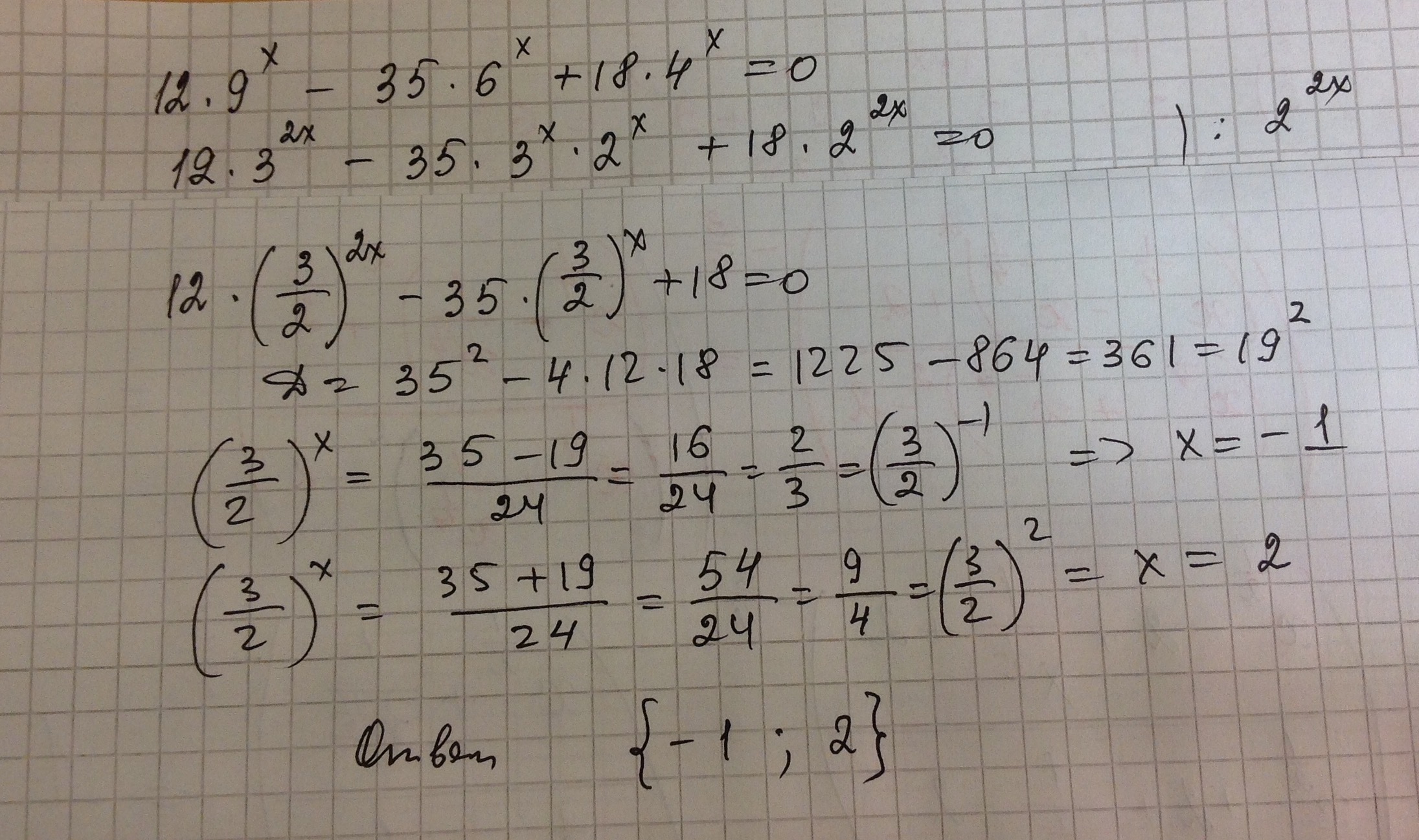
Ответ на фото///////////
Приложения:
РуУр:
Спасибо
Автор ответа:
1
Если появятся какие-нибудь вопросы — задавайте.
Если моё решение оказалось полезным, смело отмечайте его как «лучший ответ».
Приложения:
Похожие вопросы
Предмет: Математика,
автор: ron7r7r7
Предмет: Математика,
автор: Аноним
Предмет: Английский язык,
автор: Lerka0222
Предмет: Биология,
автор: anna1279
Предмет: Геометрия,
автор: elizabieber