Предмет: Математика,
автор: temofey2010
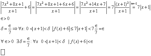
Здравствуйте кто это читает помогите доказать предел пожалуйства.
lim( при X стремиться к X0) (7x2+8x+1)/(x+1)=-6, X0=-1
В приложении смотрите вариант №10
Приложения:
Ответы
Автор ответа:
0
Доказательство по Коши
Приложения:
Похожие вопросы
Предмет: География,
автор: ustugovakristina8
Предмет: Математика,
автор: 32crtfreeman35
Предмет: Другие предметы,
автор: lizzzador
Предмет: Химия,
автор: syboyemo
Предмет: Алгебра,
автор: Fanta76