Предмет: Химия, автор: nikitakarpovich2017

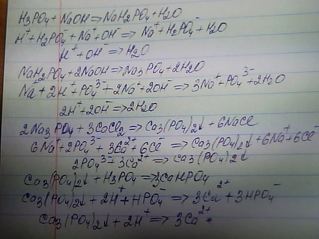
5 задание все красивенько расписать

Приложения:

Ответы

Автор ответа: informatikschop22sei
1

∪∪∪∪∪∪∪∪∪∪∪∪∪∪∪∪∪∪∪∪∪А

Приложения:

nikitakarpovich2017: 4 вариант
nikitakarpovich2017: https://znanija.com/task/30857111
nikitakarpovich2017: можете также только вариант 4? и ионные
nikitakarpovich2017: https://znanija.com/task/30857467
nikitakarpovich2017: ВОТ ЭТУ ССЫЛКУ
nikitakarpovich2017: поможете?
nikitakarpovich2017: пожайлуйста
nikitakarpovich2017: спасибо но мне нужен 4 вариант
nikitakarpovich2017: https://znanija.com/task/30857467
nikitakarpovich2017: поможете?
Похожие вопросы
Предмет: Математика, автор: ymnik5125
Предмет: Математика, автор: irisha1982666