Предмет: Математика,
автор: SYMBATOOO
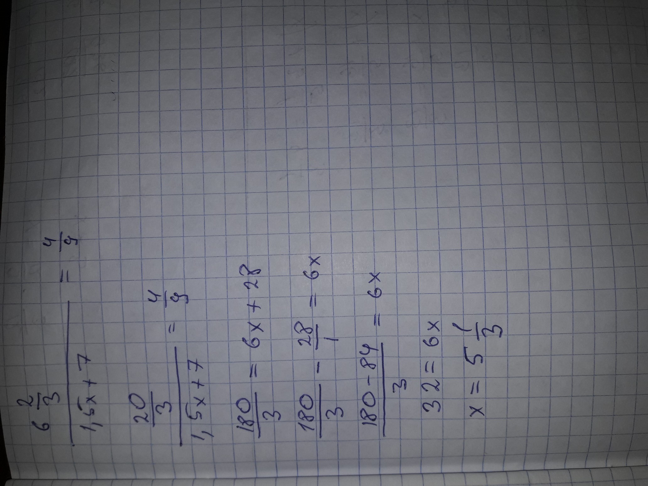
решите уравнение 6целых 2/3 : ( 1/5х+7)=4/9 пошагово пжж
Ответы
Автор ответа:
0
...........................
Приложения:
Похожие вопросы
Предмет: Математика,
автор: chelaknatali5
Предмет: Химия,
автор: hdjsjjskdndn
Предмет: Обществознание,
автор: sofa34418
Предмет: Геометрия,
автор: Belovmee
Предмет: Математика,
автор: ValentinMonery