Предмет: Математика,
автор: redmi54
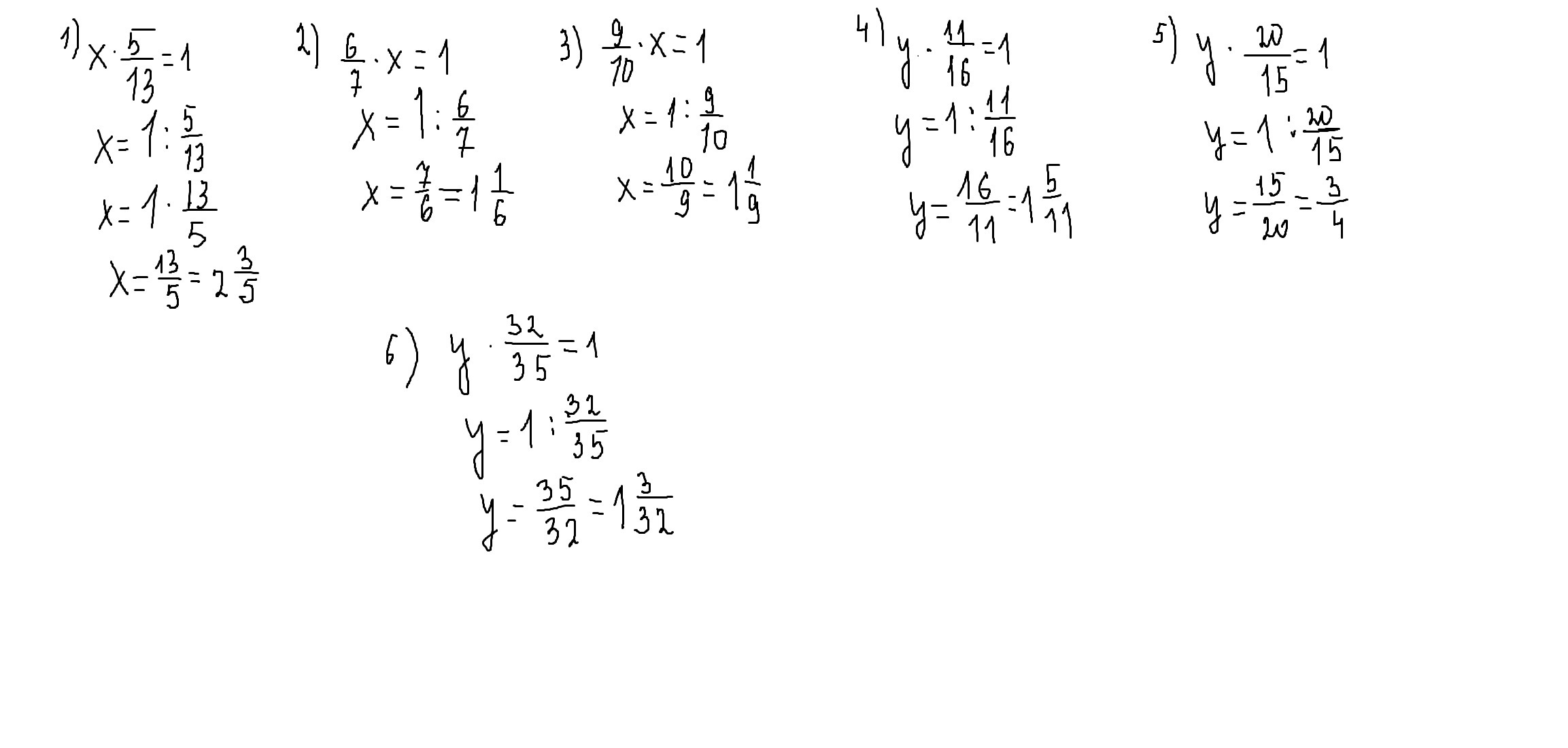
найди корни уравнений 1) x•5/13=1; 2)6/7•x=1; 3)9/10•x=1; 4)y•11/16=1; 5)y•20/15=1; 6)y•32/35=1.
dolumova:
5/13 - это дробь?
Ответы
Автор ответа:
46
Ответ:
во всех уравнениях произведения равны 1,это говорит том,что умножены взаимно обратные числа.,например 2\3*3\2=6\6=1,
12\17*17\12=1.Чтобы получить взаимно обратное число надо поменять местами числитель и знаменатель.А если дана смешанная дробь-то сначала надо превратить ее в неправильную дробь.
Приложения:
спасибо
пожалуйста.
привет
Похожие вопросы
Предмет: Математика,
автор: lemeskinaalina455
Предмет: Физика,
автор: bekaidar8
Предмет: Биология,
автор: Аноним
Предмет: Химия,
автор: SofiaAP
Предмет: Математика,
автор: Yoyoyu