Предмет: Алгебра,
автор: lneolol1117392
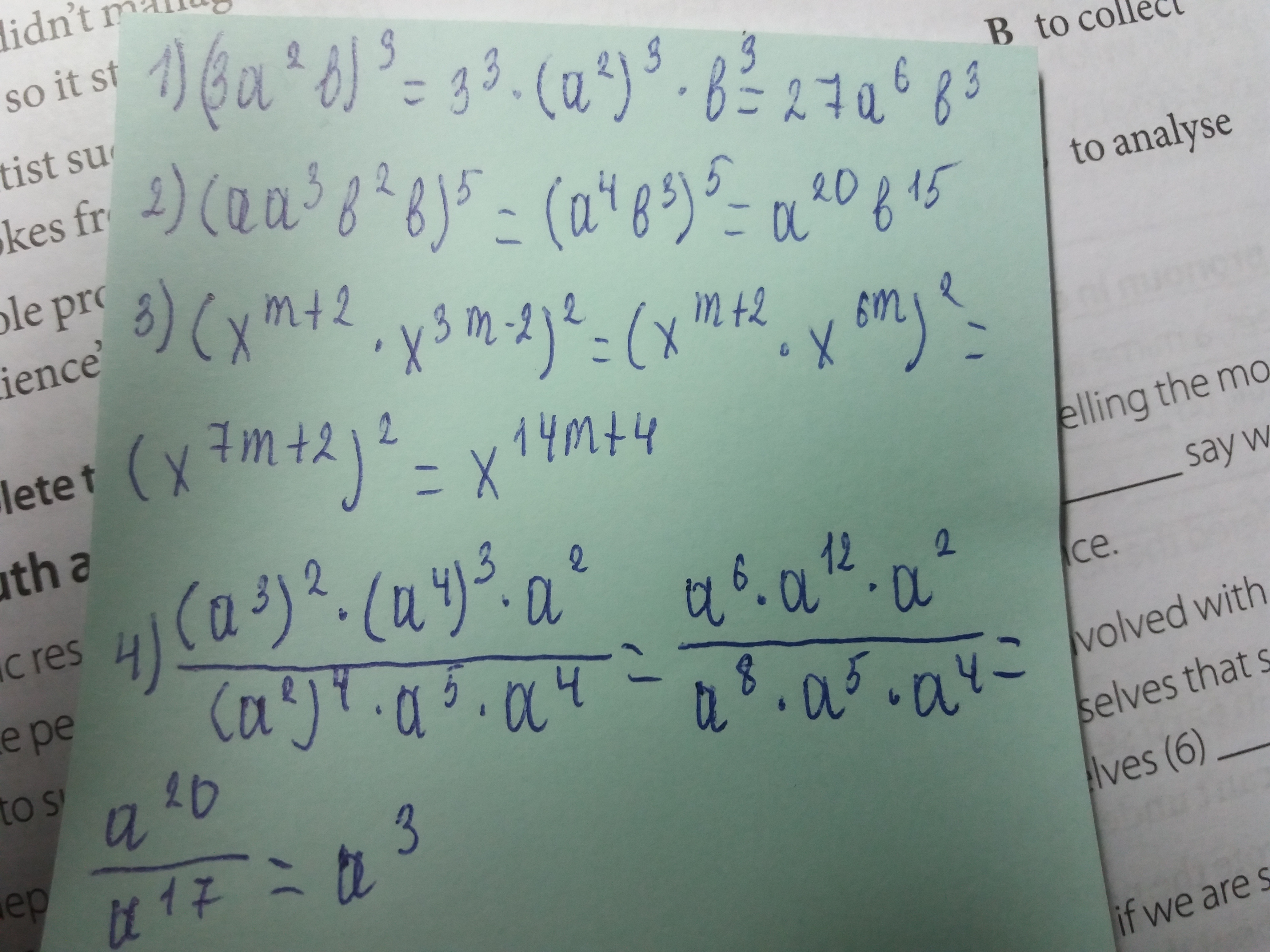
(3a²b)³
(aa³b²b)⁵
(x^m+2 × x^3m-2)²
Приложения:
kaidararujan:
Пожалуста нажми 5 звёзд
Ответы
Автор ответа:
3
Ответ в фото... помогла чем смогла
Приложения:
Похожие вопросы
Предмет: Физика,
автор: hurremsultanh537
Предмет: Химия,
автор: maxmandarin29
Предмет: Математика,
автор: anastasiabuc5
Предмет: Математика,
автор: jopokryak420