Предмет: Физика,
автор: margoshad
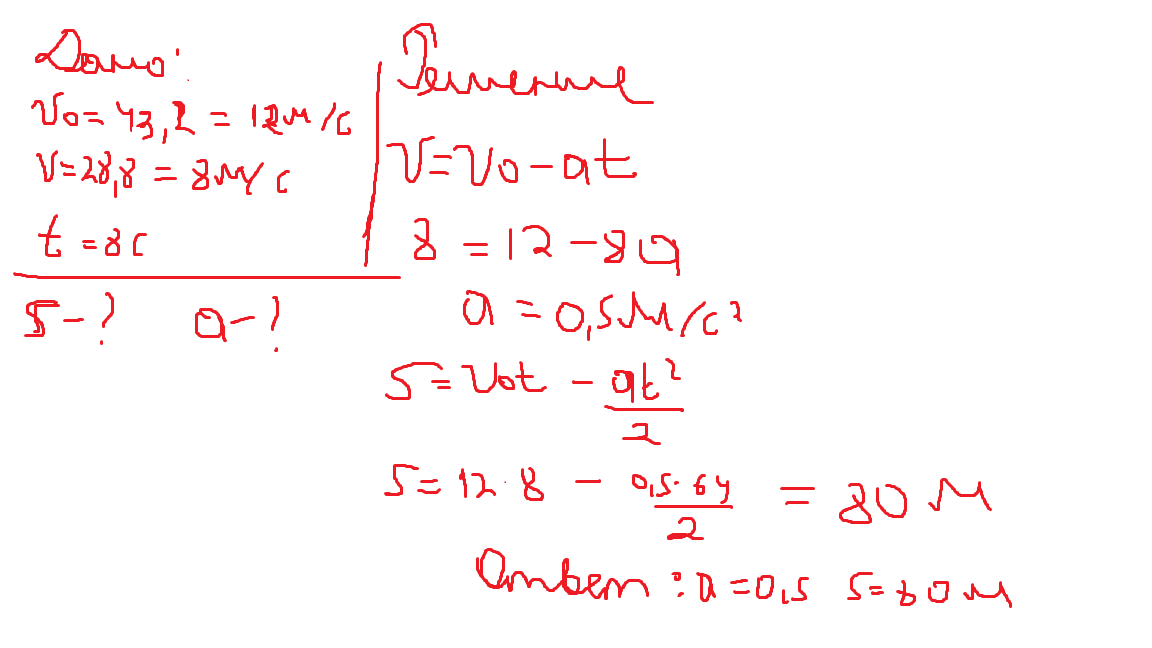
при подходе к светофору автомобиль уменьшил скорость с 43,2 До 23,8 км/ч за 8с. определите ускорение и длину тормозного пути автомобиля
Ответы
Автор ответа:
0
вот решение
Приложения:
Похожие вопросы
Предмет: Физика,
автор: 123144842
Предмет: Музыка,
автор: Аноним
Предмет: Геометрия,
автор: akamilla2
Предмет: Химия,
автор: Аноним
Предмет: Математика,
автор: ragusha021