Предмет: Математика,
автор: vikagorkina
СРОЧНО ПОМОГИТЕ! Нужно решить эти примеры!!
Приложения:
Ответы
Автор ответа:
1
Ответ:
Пошаговое объяснение:
1. х^2-3х+2-х^2=5
-3x=3
x=-1
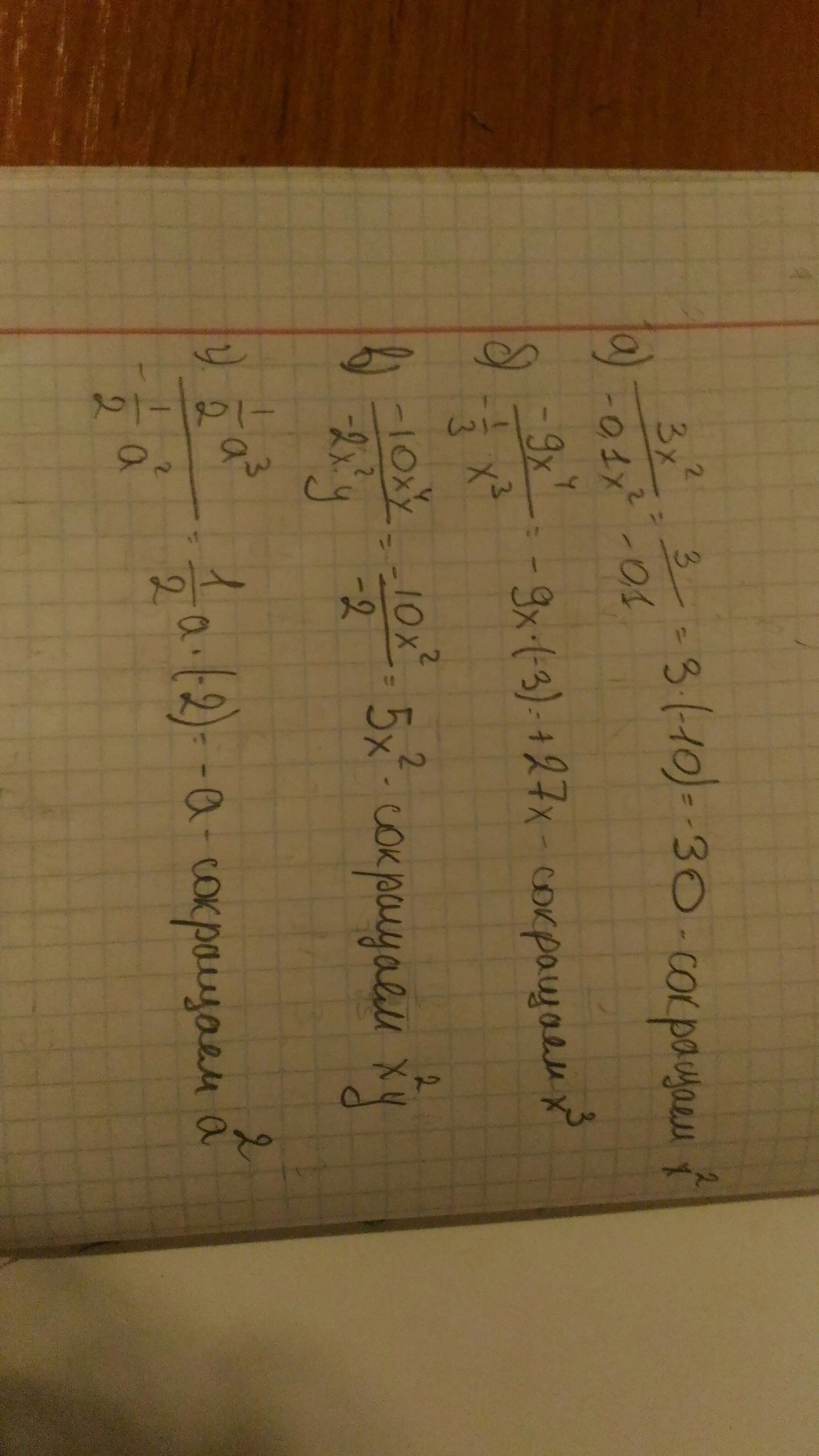
2.a)-30
Б)27X
В)5х^2
Г)-a
3.1)(2a-5b)/3b
2)(-12m^3+7)/(-4)
Приложения:
vikagorkina:
Пожалуйста, если вам не трудно, можете расписать подробнее решение?
в каких именно расписать решение?
2 и 3 номер
Огромное спасибо!!
Похожие вопросы
Предмет: Алгебра,
автор: berdimbetovamalik
Предмет: Английский язык,
автор: lolzguru566
Предмет: Математика,
автор: sherilmem
Предмет: Математика,
автор: Оля2005546