Предмет: Алгебра,
автор: KSusHA656
Даю 50 баллов за помощь! Срочно!!! Пожалуйста напишите решение и ответ. Заранее спасибо.
Приложения:
Ответы
Автор ответа:
1
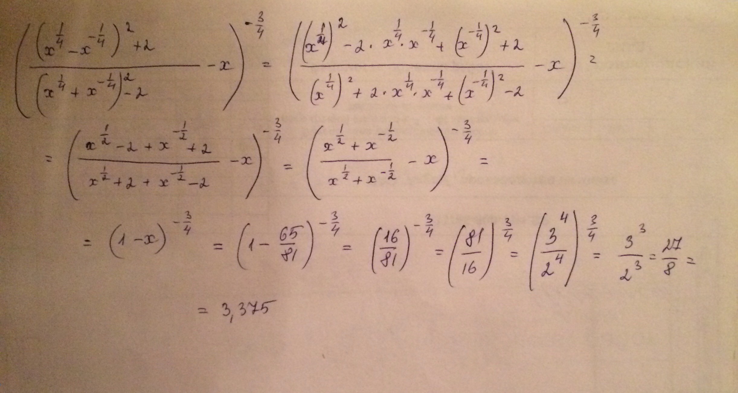
Раскрываем скобки (в числителе квадрат разности, в знаменателе квадрат суммы), а дальше все просто
Приложения:
KSusHA656:
спасибо тебе огромное.
Похожие вопросы
Предмет: Українська мова,
автор: Аноним
Предмет: Информатика,
автор: daliiaburkumbaeva
Предмет: Математика,
автор: kirill25654
Предмет: История,
автор: лялик3
Предмет: Математика,
автор: tata146