Предмет: Алгебра,
автор: Аноним
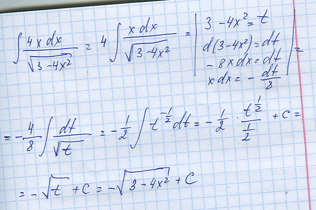
Решите интеграл пожалуйста.
35 баллов.
∫

Ответы
Автор ответа:
1
решение находится ниже
Приложения:
Аноним:
еще 1 решите пожалуйста, в моих вопросах последний
Похожие вопросы
Предмет: Литература,
автор: lilitlay99
Предмет: Физика,
автор: prokigor456
Предмет: География,
автор: vikazemlanika13
Предмет: География,
автор: Аноним
Предмет: Химия,
автор: 9600662