Предмет: Алгебра,
автор: acat777
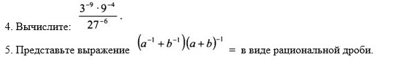
Помогите с алгеброй.СРОЧНО 45 баллов
тема Степень числа. 8 класс.
Приложения:
Ответы
Автор ответа:
1
Ответ на фото///////////////
Приложения:
Автор ответа:
1
Вот все ответы. Надеюсь помогла
Приложения:
Похожие вопросы
Предмет: Математика,
автор: Mitton
Предмет: Астрономия,
автор: elmao
Предмет: Английский язык,
автор: kamila5239
Предмет: Физика,
автор: al110
Предмет: Математика,
автор: Лунти4ка