Предмет: Алгебра,
автор: darigaalimzhanova
1 вариант помогите пожалуйста прошу! поставлю балы
Приложения:
Ответы
Автор ответа:
1
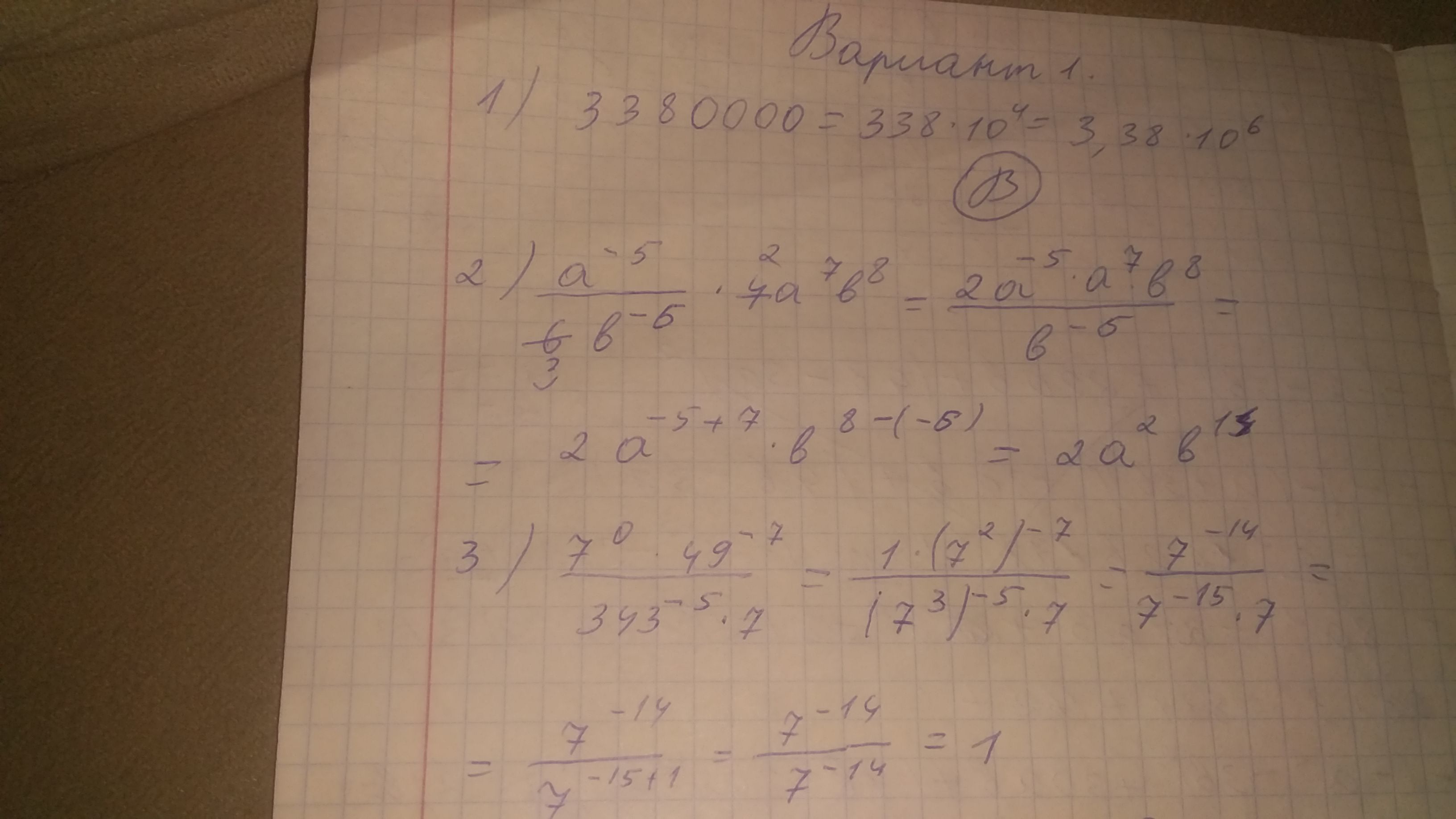
Решение первого варианта.фото
Приложения:
darigaalimzhanova:
плохо видно
размыто
Сейчас еще сфоткаю
помоги решить 2вариант
Тоже нужно
Похожие вопросы
Предмет: Английский язык,
автор: arinai3
Предмет: Литература,
автор: do4kiklekovkina
Предмет: Биология,
автор: gulsana0519
Предмет: Химия,
автор: saslt
Предмет: Математика,
автор: plga1986