Предмет: Математика,
автор: richy06
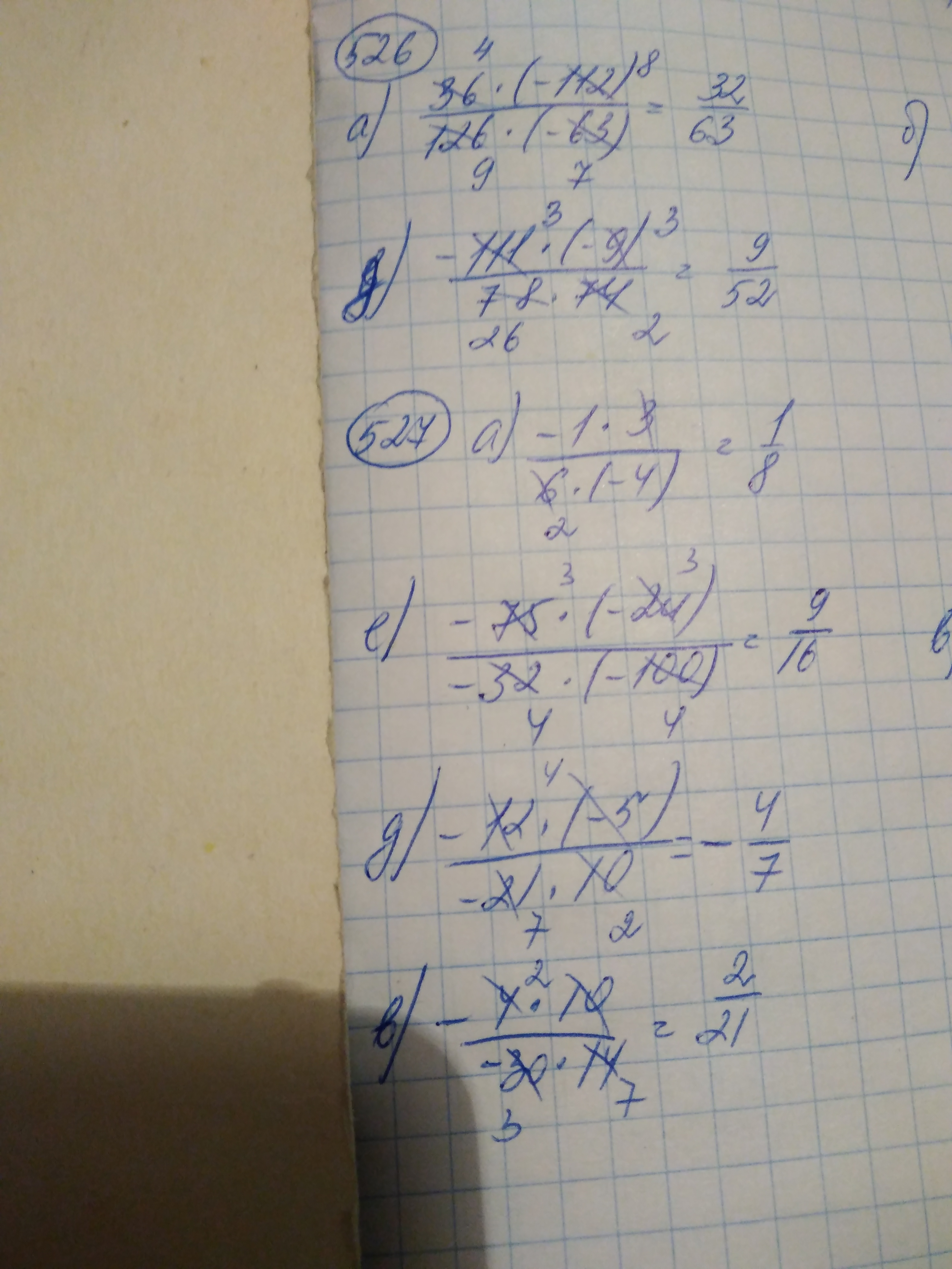
сократить дроби №526, 527. буквы а), в), д).
спасибо заранее ;)
Приложения:
Ответы
Автор ответа:
2
Ответ:
Пошаговое объяснение:
Приложения:
tatsach:
526 В не видно
184×(-49)--------------84×(-69)
Добавила фото
Похожие вопросы
Предмет: Оʻzbek tili,
автор: KickBoy78
Предмет: Математика,
автор: sxgpups
Предмет: Қазақ тiлi,
автор: bakbergenovajanar
Предмет: Обществознание,
автор: Ибрагимка386
Предмет: Физика,
автор: 12296