Предмет: Биология,
автор: grbradugap2yx2d
может ли у темноволосых родителей родиться блондин если темные волосы доминантный признак. Решите в виде задачи
Ответы
Автор ответа:
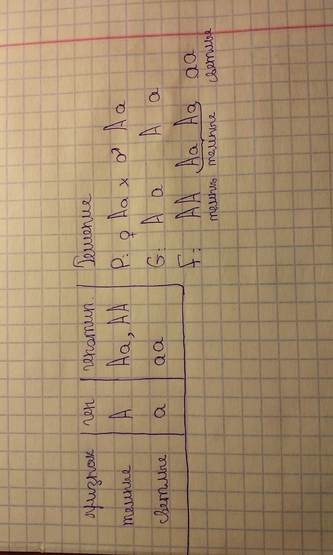
1
Если родители каждого из родителей имели светлые волосы, то возможно, с 25% шансом.
Приложения:
Автор ответа:
0
Да, такое возможно
А- тёмный, а- блондин
P : Аа(т) * Аа(Т)
Г: А а А а
F: АА(тёмн) Аа(тем) Аа(т) аа(блондин)
Ответ : вероятность рождения блондина 1 к 4 или 25%
Похожие вопросы
Предмет: Литература,
автор: Аноним
Предмет: Информатика,
автор: a1b23
Предмет: Математика,
автор: mfedorov832
Предмет: Математика,
автор: самира119
Предмет: Математика,
автор: ирина719