Предмет: Алгебра,
автор: Rna1998
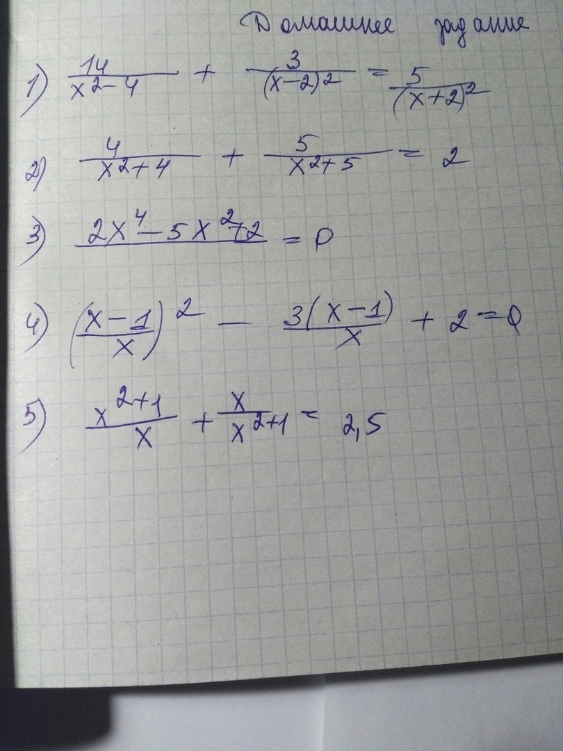
Помогите пожалуйста решить 4 пример( срочно надо)
Приложения:
Ответы
Автор ответа:
1
решение во вложении....
Приложения:
kirichekov:
ОШИБКА! отметьте, пожалуйста нарушение. t1=2, t2=1
Похожие вопросы
Предмет: Информатика,
автор: kirillkyrwa
Предмет: Алгебра,
автор: saniazumabaeva03
Предмет: Русский язык,
автор: dashagordeeva09
Предмет: Математика,
автор: lesens8323434
Предмет: Математика,
автор: АлинаИстория