Предмет: Математика, автор: sofiyailina0647

Вычисли неизвестный член пропорции:

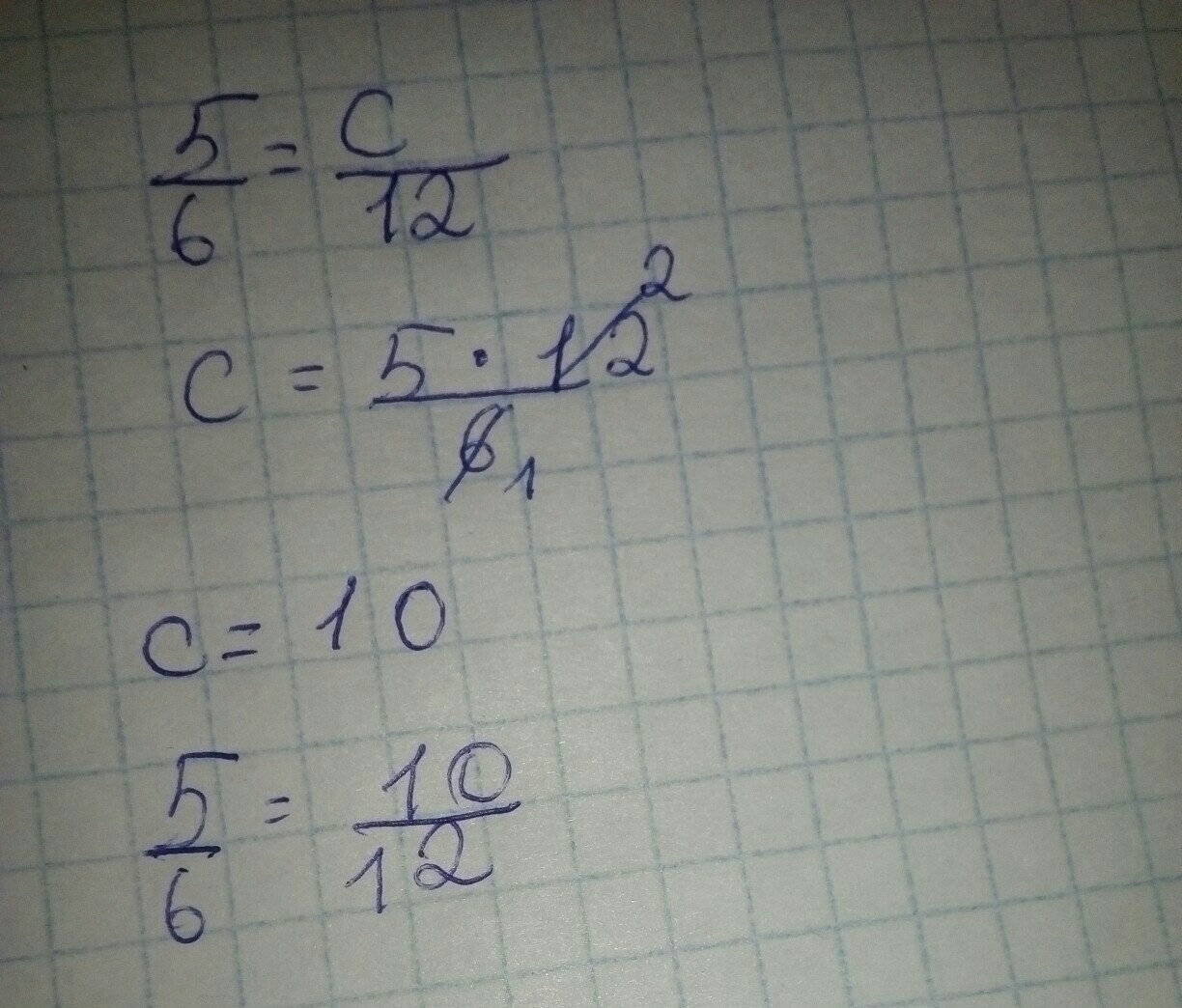
5=C
6 12

Ответы

Автор ответа: martynovadarya2003
0

Ответ:

С=10

Пошаговое объяснение:

5/6=С/12

5*12=6*С

(5*12)/6=С

С= 5*2

С=10

Автор ответа: dilka06
0
вотттттт надеюсь пропорцию правильно записала
Приложения:
Похожие вопросы
Предмет: Математика, автор: nastystepanova09
Предмет: Русский язык, автор: llogogame
Прочитайте текст;
Определите основную мысль;
Выпишите ключевые слова;
Составьте тонкий и толстый вопросы.
текст
Согласно статистическим данным, семьдесят процентов из общего числа часто подверженных различным болезням детей и подростков пропускает или вовсе не посещает физкультуру, не занимается никаким спортом. Проводимое за телевизором или компьютером время, умственные нагрузки во время уроков или выполнения домашнего задания не могут компенсировать отсутствия физической разрядки. Малоактивный образ жизни «старит» растущий организм, делает его уязвимым. И если раньше патологии костной ткани, сосудистые и сердечные болезни диагностировались у представителей старшего поколения, сегодня эти недуги поражают и детей, и подростков. Чтобы избежать подобных неблагоприятных последствий, укрепить организм и иммунитет, нельзя пренебрегать спортом и физкультурой.

пж пж ответьте ​
Предмет: Математика, автор: сабринаиманлва