Предмет: Алгебра,
автор: lenakrokodilova1
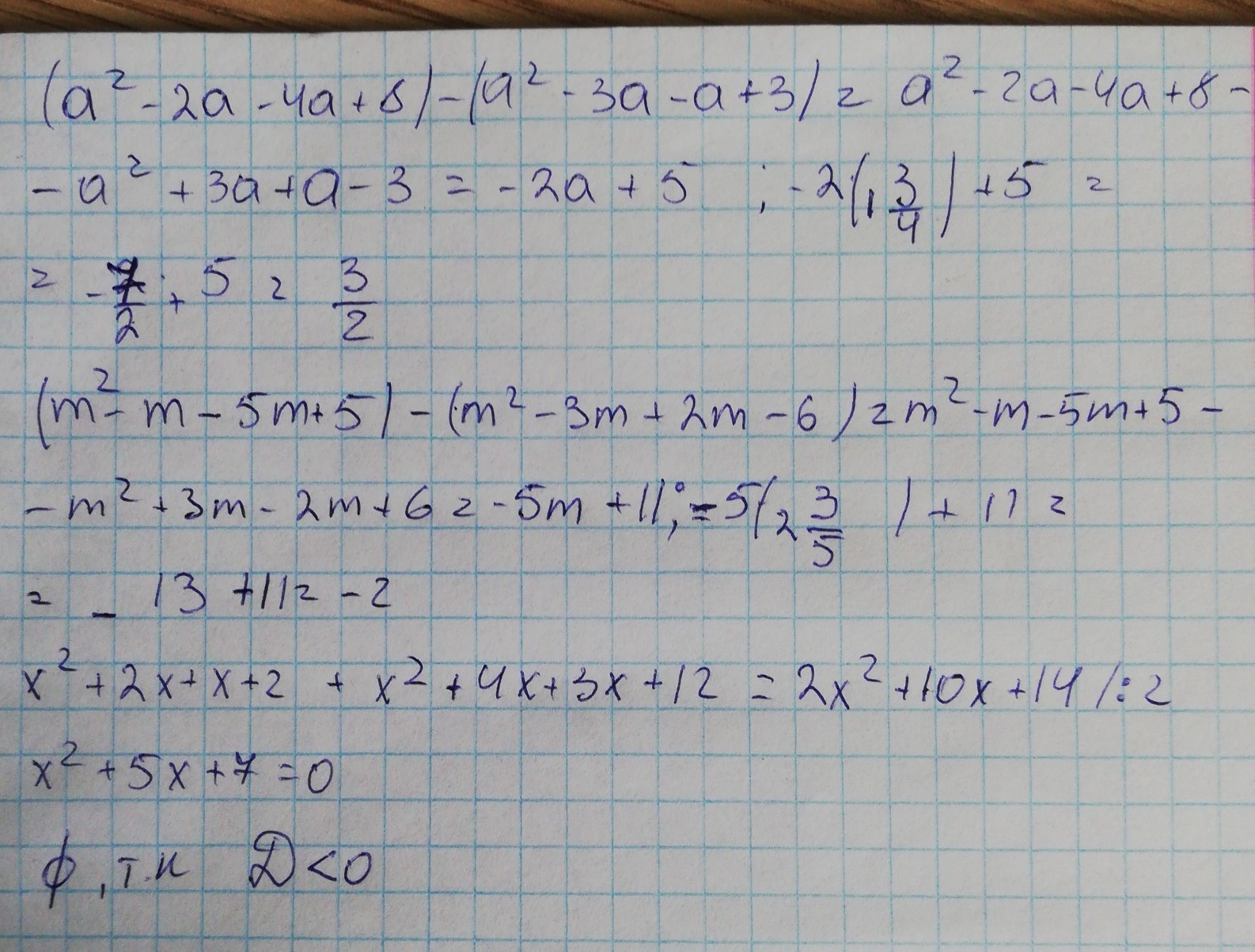
Найдите значение алгебраического выражения , предварительно, упростив его
1)(а-4)(а-2)-(а-1)(а-3) при а=1 3/4
2) (m-5)(m-1)-(m+2)(m-3) при m =2 3/5
3) (х+1)(х+2)+(х+3)(х+4) при х=-0,4
Ответы
Автор ответа:
1
надеюсь поможет тебе)
Приложения:
lenakrokodilova1:
во втором сколько получилось?
Автор ответа:
2
1)

Если а=1 3/4, то -2а+5=-2*4/3+5=8/3+5=7 2/3
Если а=1 3/4, то -2а+5=-2*4/3+5=8/3+5=7 2/3
Похожие вопросы
Предмет: Математика,
автор: Аноним
Предмет: Литература,
автор: sawacafronova132
Предмет: Литература,
автор: nytka74
Предмет: Литература,
автор: NyanFox1
Предмет: Алгебра,
автор: мария1439