Предмет: Математика,
автор: kravecartem80
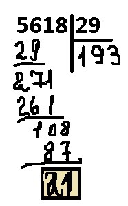
решить пример с остатком 5618:29=193(ост.)
Ответы
Автор ответа:
1
остаток 21
....................
Приложения:
Похожие вопросы
Предмет: Химия,
автор: olegprizrak129
Предмет: Українська література,
автор: XupoCode016
Предмет: Математика,
автор: lavricsuperpro8989
Предмет: Математика,
автор: Gussuus