Предмет: Алгебра,
автор: Аноним
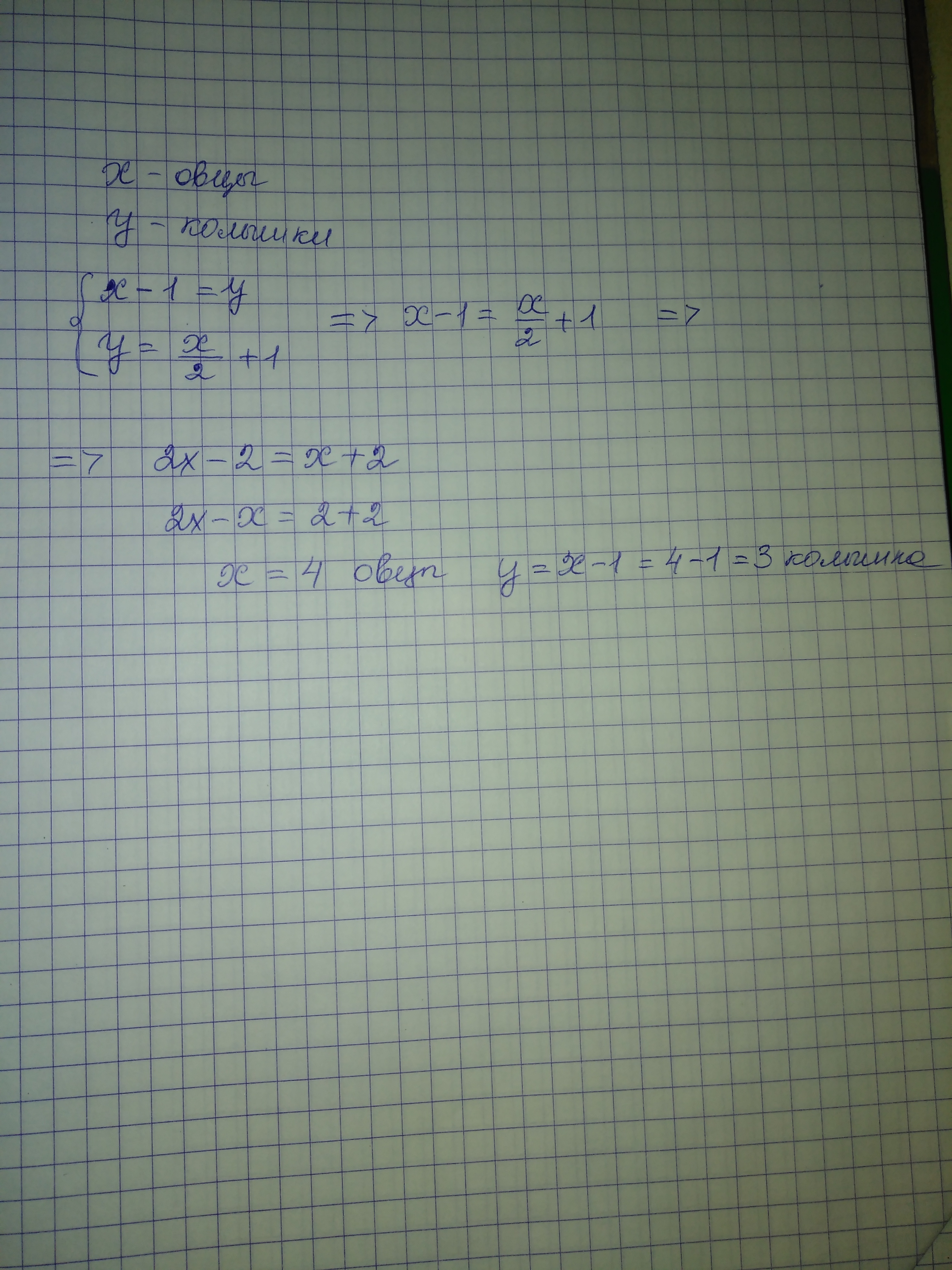
пастушок пригнал на поляну овец. НА поляне были колышки. Если к каждому колышку он привяжет по овце, то для одной колышка не хватит. Если же к каждому колышку он привяжет по две овцы, то один колышек останется свободным. Сколько овец пригнал пастушок?
MizoriesKun:
4 овцы и 3 колышка
Ответы
Автор ответа:
3
Смотри.................
Приложения:
Похожие вопросы
Предмет: Литература,
автор: sevcukmikola326
Предмет: Геометрия,
автор: tasifun
Предмет: География,
автор: kradunvlad
Предмет: История,
автор: прлси
Предмет: Математика,
автор: fegdhfrg