Предмет: Алгебра,
автор: TheEnder
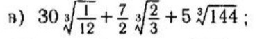
Помогите упростить выражение:
Приложения:
Ответы
Автор ответа:
2
Решение задания приложено
Приложения:
Похожие вопросы
Предмет: География,
автор: jeuupiueyehey
Предмет: Математика,
автор: palkovstas2
Предмет: Русский язык,
автор: superkristya
Предмет: Математика,
автор: Dzhafarovamarin