Предмет: Алгебра,
автор: anazmitrovic
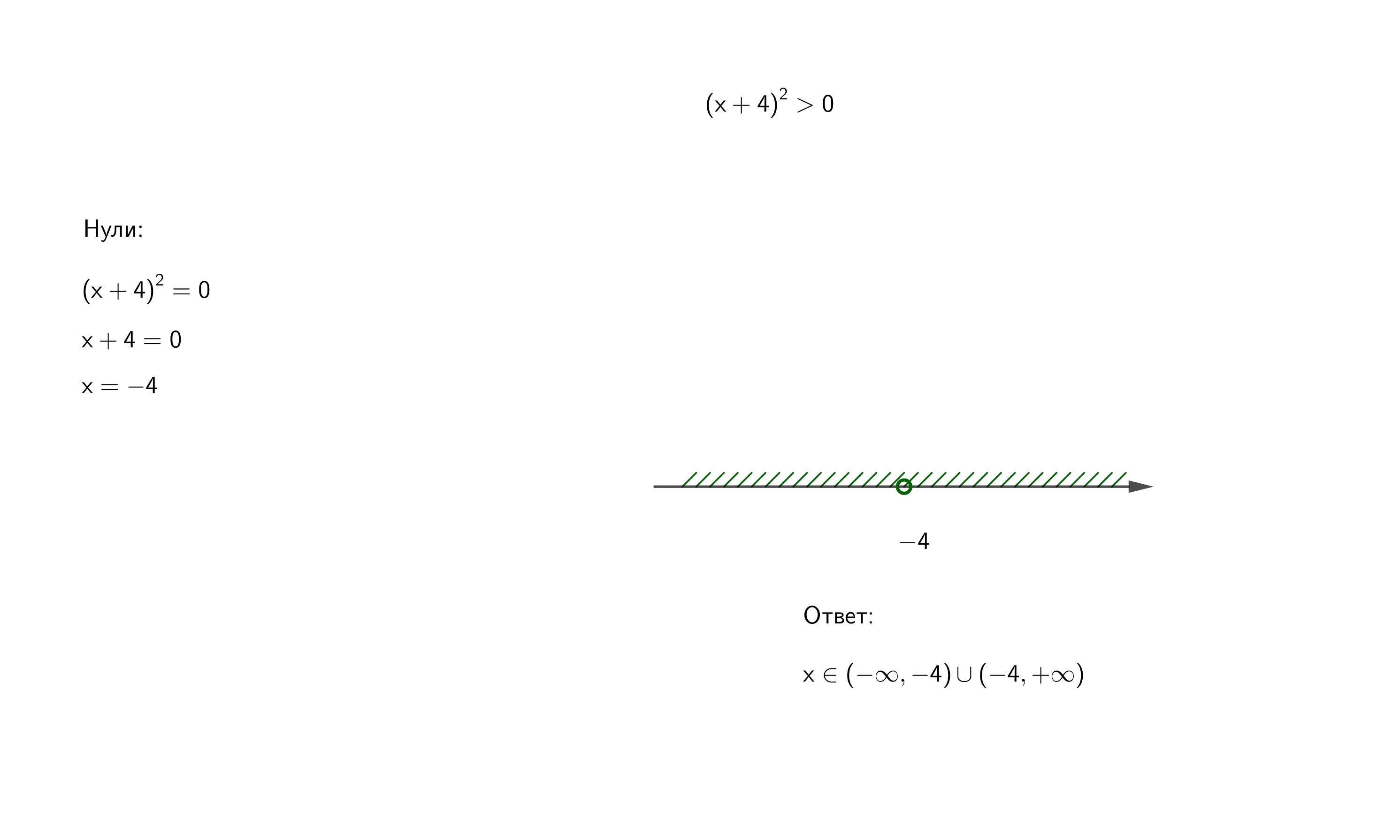
решите неравенство (х+4)²>0
Ответы
Автор ответа:
1
Ответ в файле
………………...........
Приложения:
Похожие вопросы
Предмет: Математика,
автор: Аноним
Предмет: География,
автор: adiletaliser1
Предмет: История,
автор: alisaberdnikova7
Предмет: Литература,
автор: vipnezhentseva