Предмет: Алгебра,
автор: owlgirl99
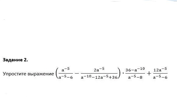
Помогите очень нужно!
Приложения:
Ответы
Автор ответа:
1
там много очень решения,держи ответ
Приложения:
owlgirl99:
Все же спасибо!
Похожие вопросы
Предмет: Химия,
автор: Аноним
Предмет: Українська мова,
автор: marijapkor
Предмет: Русский язык,
автор: Аноним
Предмет: Геометрия,
автор: CaнкаРея
Предмет: Химия,
автор: nuzhna35