Предмет: Алгебра,
автор: Аноним
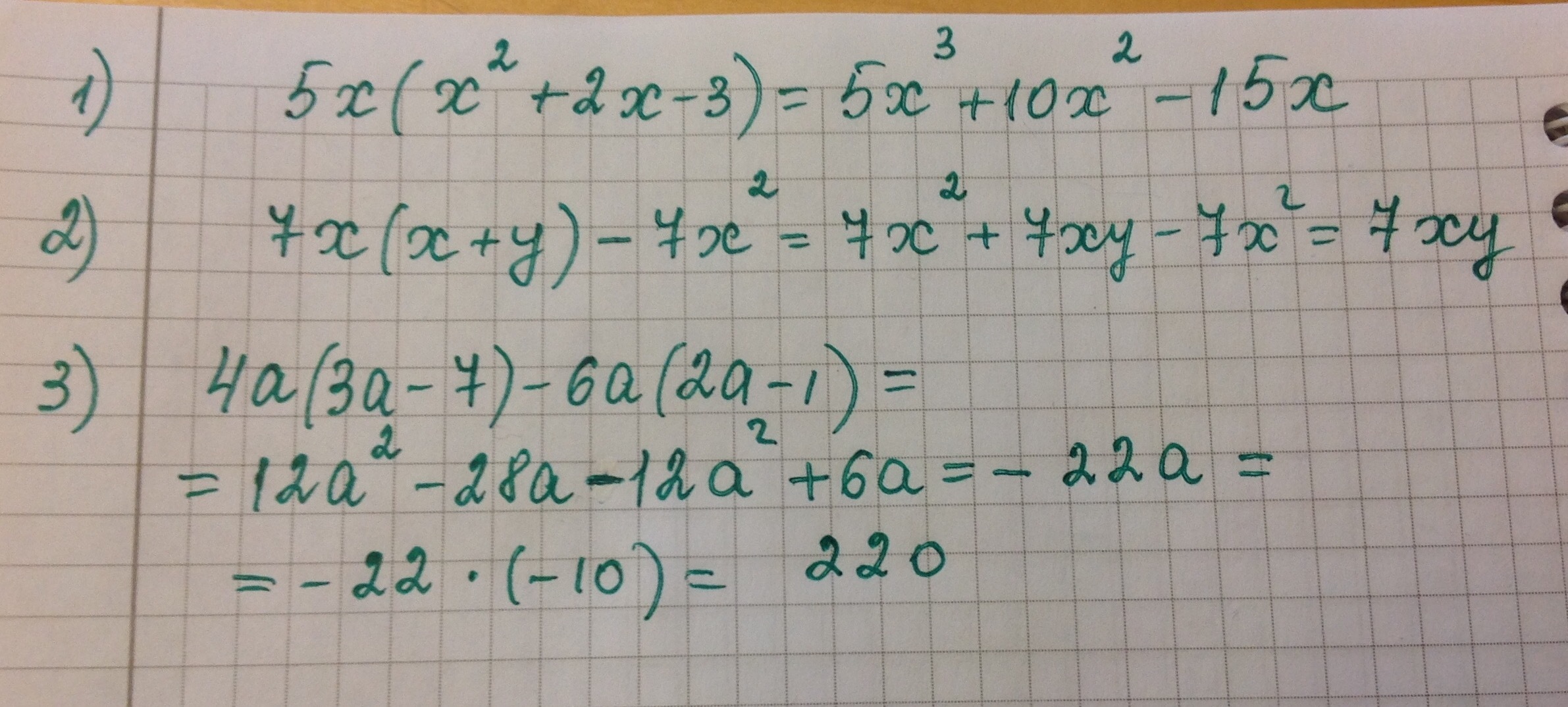
Сделайте все 3 примера даю 65 баллов))))
Приложения:
Аноним:
Кинь ответ)
Ответы
Автор ответа:
1
Ответ на фото/////////////
Приложения:
Похожие вопросы
Предмет: Литература,
автор: liptonikah
Предмет: Биология,
автор: denysko7465
Предмет: Английский язык,
автор: backspace590
Предмет: Математика,
автор: pahanmaninlasve