Предмет: Алгебра,
автор: indira4911
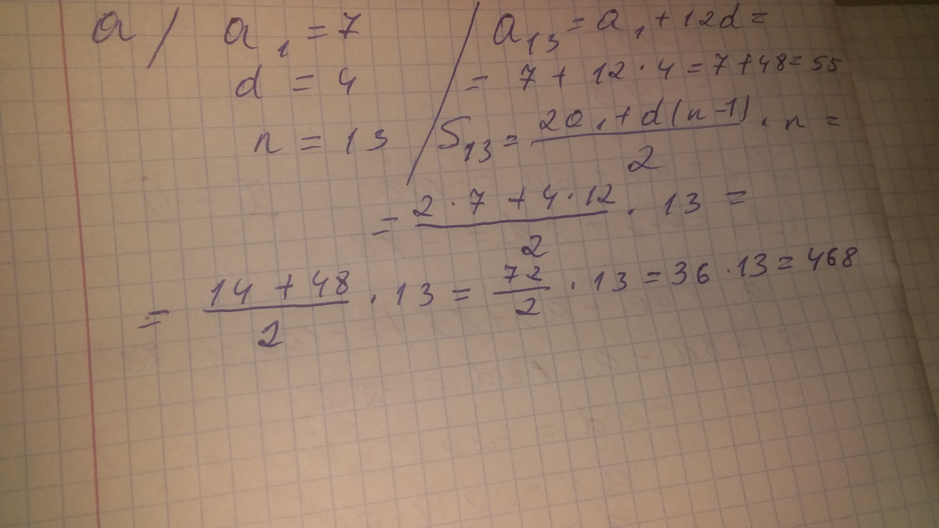
найдите n-й член и сумму первых n членов арифметической прогрессии, если: а) a1=7, d=4, n=13
Ответы
Автор ответа:
0
Посмотрите ниже.фото
Приложения:
Похожие вопросы
Предмет: История,
автор: vitalikraikov263
Предмет: Окружающий мир,
автор: lera930834
Предмет: Другие предметы,
автор: fiopfiop00
Предмет: Алгебра,
автор: Аноним
Предмет: География,
автор: nutsalova67