Предмет: Алгебра,
автор: kirilllisus
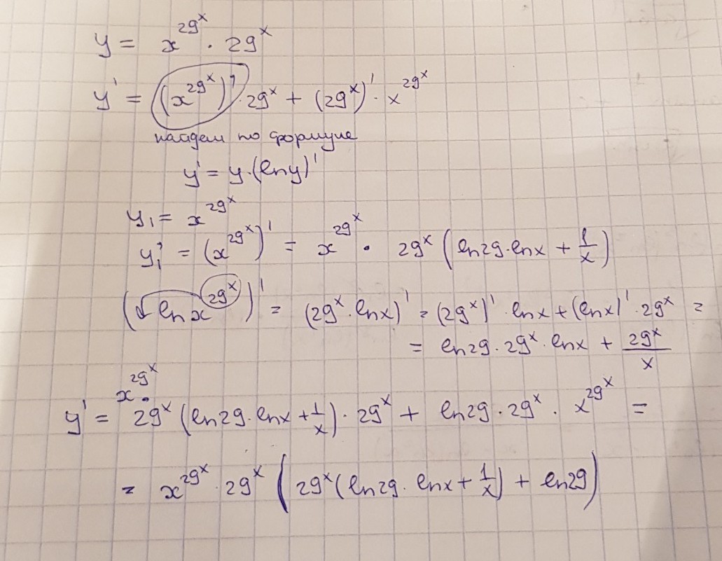
Найдите, пожалуйста, производную функции
Приложения:
Ответы
Автор ответа:
1
решение на фотографии
Приложения:
Похожие вопросы
Предмет: Английский язык,
автор: elenapaladiy
Предмет: Қазақ тiлi,
автор: mrlaxmac789
Предмет: Английский язык,
автор: katyayakovleva160
Предмет: Физика,
автор: ybrbnjy
Предмет: Математика,
автор: afadin86