Предмет: Алгебра,
автор: karishapetrossyan
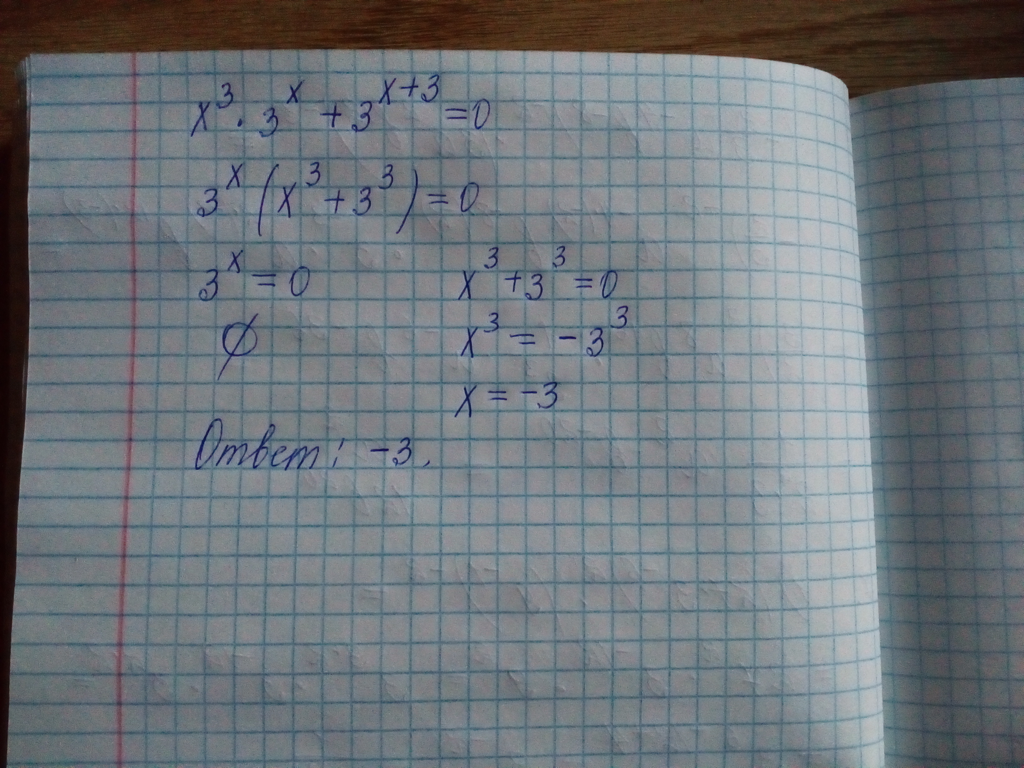
x^3*3^x+3^x+3=0
ПОМОГИТЕ ПОЖАЛУЙСТААААААА
Ответы
Автор ответа:
1
!!!!!!!!!!!!!!!!!!!!!!
Приложения:
Похожие вопросы
Предмет: Биология,
автор: Smitrohina308
Предмет: История,
автор: platonklimov2407
Предмет: Математика,
автор: catalinc83
Предмет: Математика,
автор: Druwba
Предмет: Физика,
автор: Аноним