Предмет: Алгебра,
автор: diesays
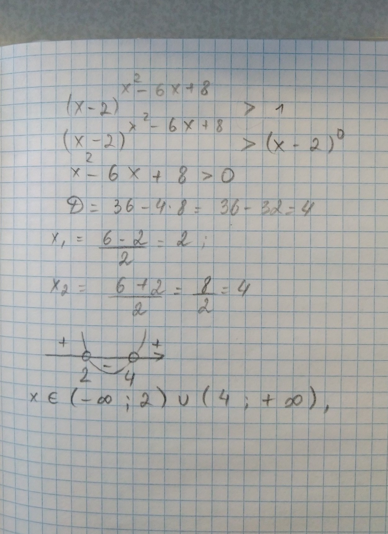
Решите уравнение (x–2)^(x^2–6x+8)>1
Ответы
Автор ответа:
8
примерно так .........
Приложения:
Похожие вопросы
Предмет: Українська мова,
автор: premiumgalant
Предмет: Русский язык,
автор: isakovu681
Предмет: Химия,
автор: zalevskaveronika41
Предмет: Алгебра,
автор: RENYGO12
Предмет: Алгебра,
автор: yanacolnze1507