Предмет: Алгебра,
автор: lallilakim
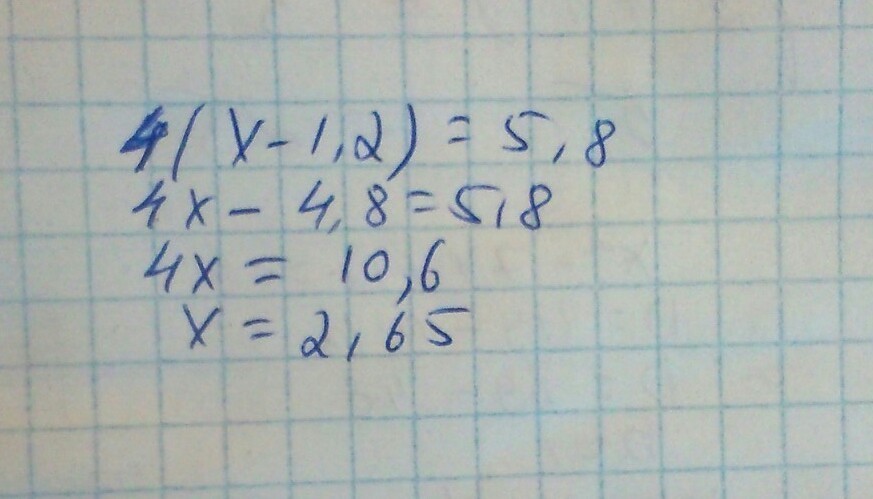
4(x-1,2)=5,8
Респишите)
Ответы
Автор ответа:
0
Автор ответа:
0
......................
Приложения:
Похожие вопросы
Предмет: МХК,
автор: Vasilisanedbay2008
Предмет: Қазақ тiлi,
автор: nazerkeabdizhappar
Предмет: Алгебра,
автор: kzimina558
Предмет: Литература,
автор: slavasovan
Предмет: Математика,
автор: муртаз2