Предмет: Геометрия,
автор: diana2230
Геометрия.
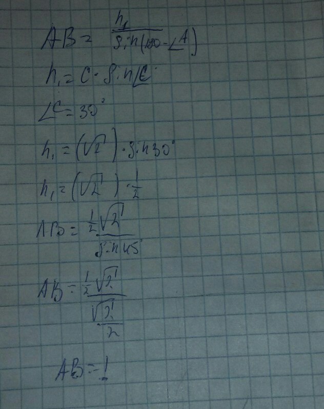
Найти:x
∠B=15
∠ A=135
BC=√2
Приложения:
Ответы
Автор ответа:
5
ФОТО

Приложения:
Похожие вопросы
Предмет: Русский язык,
автор: bubu70
Предмет: Физика,
автор: aniyafhvbb
Предмет: Другие предметы,
автор: rakhymdanaya
Предмет: Математика,
автор: karzokhina