Предмет: Алгебра, автор: danila456158555

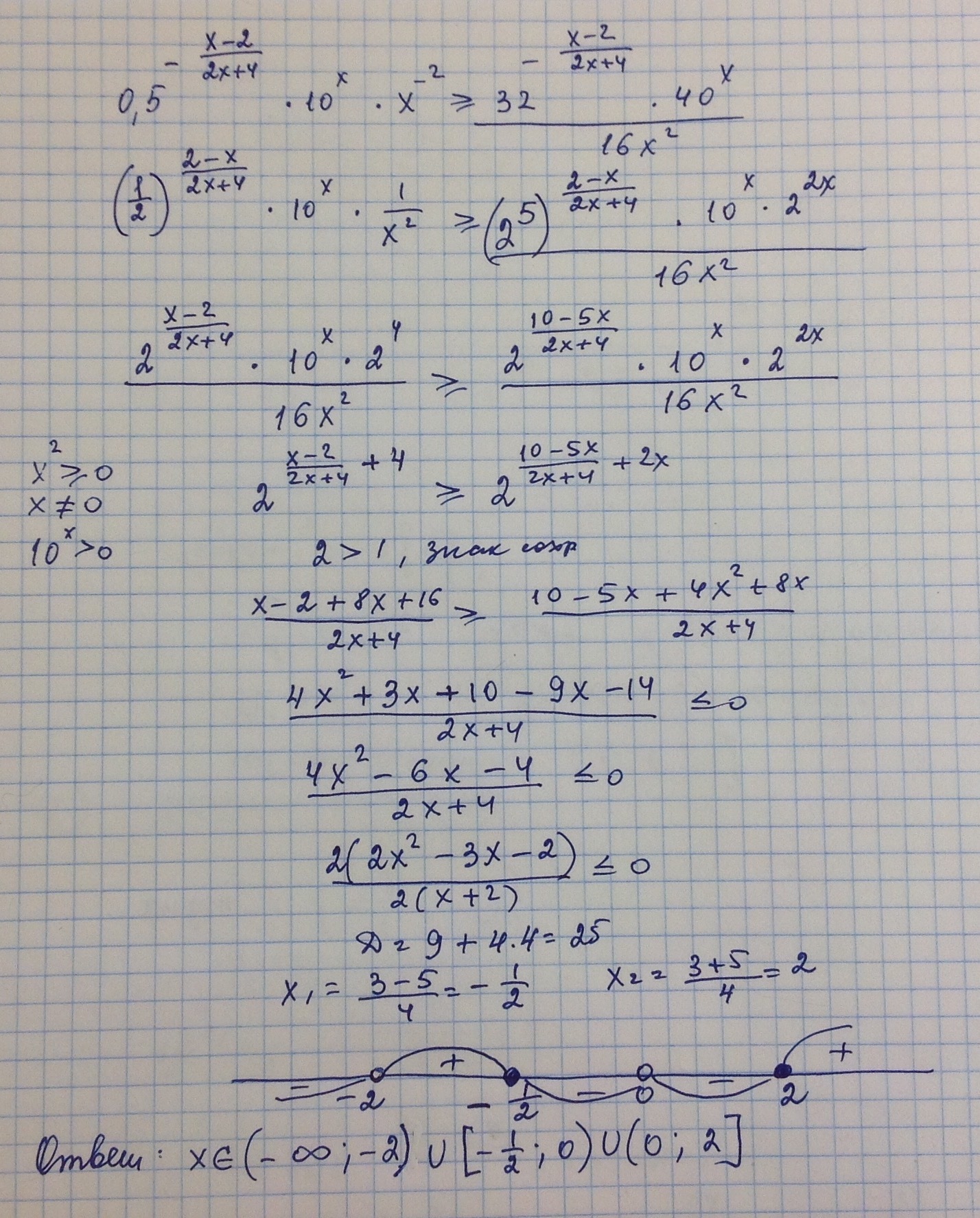
Решите плиз 15 задание

Приложения:

danila456158555: а решение можно?!?
maksimcat: Нет
maksimcat: Ещё два промежутка

Ответы

Автор ответа: maksimcat
1

Ответ на фото////////////////////

Приложения:
Похожие вопросы
Предмет: Английский язык, автор: deminaevelina200733
Предмет: Информатика, автор: Kliuzinav
Задачи. Тема «алгоритмы ветвления» ( работа в Паскале)


1. Написать программу решения квадратного алгебраического уравнения с произвольными параметрами: A*X*X+B*X+C=0.

2. Написать программу "Калькулятор", умеющую производить 4 арифметических действия (+,-,*,/ ) над произвольной парой действительных чисел.

3. Программа спрашивает сокращенное имя, а выдает полное (например, Саша - Александр) для четырех ваших знакомых. Ввод незнакомого имени должен провоцировать заявление типа: "Я с вами не знаком".

4. Вычислить значение функции:
X,​если 0> X
F =​1/(X-5),​если 0<= X <=20
не определено, в остальных случаях

5. Переменной К присвоить номер четверти плоскости, в которой находится точка с координатами X и Y ( X*Y <> 0 ).

6. Написать программу, которая требует ввода времени дня и, в зависимости от введенного значения, желает доброго утра, доброго дня, доброго вечера или спокойной ночи.
7. Даны произвольные числа A, B, C. Определить, можно ли построить треугольник с такими сторонами? Какой это треугольник: равнобедренный, равносторонний, прямоугольный.

8. В овощной магазин поступило С тонн капусты. Магазин имеет два склада: вместимость первого – А тонн, второго – В тонн. В первом складе находится А1 тонн капусты, во втором – В1 тонн. Определить количество капусты в каждом складе после поступления.

9. По номеру Y ( Y > 0 ) некоторого года определить C - номер его столетия (учесть, что, к примеру, началом ХХ столетия был 1901, а не 1900 год).

10. Известно расстояние до каждого из трех сел от районного центра. Определить, какое из них находится ближе всего к районному центру, а какое дальше всего от него.
Предмет: Алгебра, автор: missnet85