Предмет: Математика,
автор: anbagdasarowa
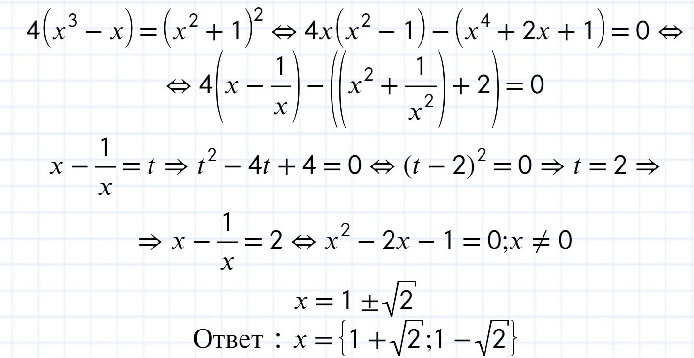
Помогите пожалуйста решить уравнение! 4(х^3-х)=(х^2+1)^2
Всем добра))
Ответы
Автор ответа:
0
☆ Решение приложено ☆
Приложения:
Похожие вопросы
Предмет: Литература,
автор: Jurikatik
Предмет: Алгебра,
автор: sukurzanovanazira189
Предмет: Русский язык,
автор: meowmeow24062011
Предмет: Литература,
автор: rwpoutebne