Предмет: Алгебра,
автор: romanareprintzev
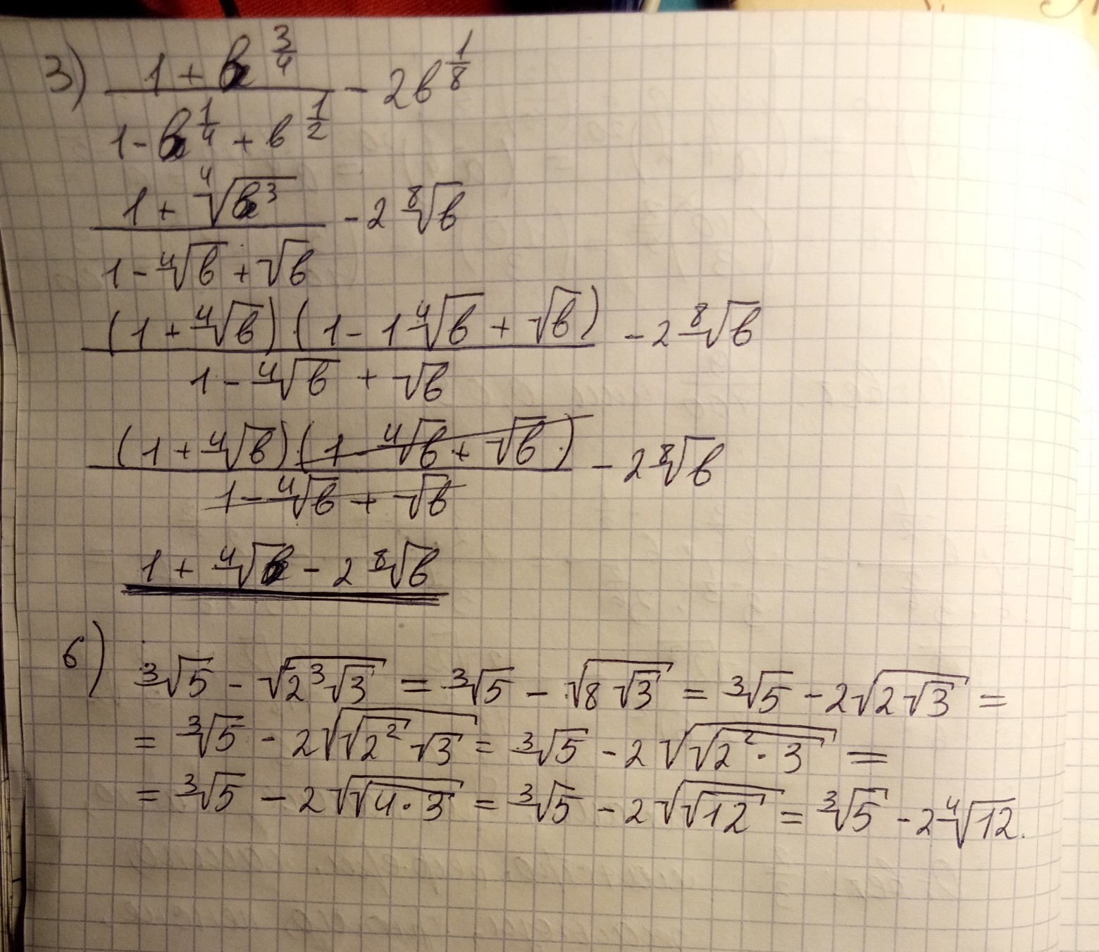
здравствуйте,помогите,пожалуйста,решить 3,5,6.очень нужно,спасибо,даю 20 баллов
Приложения:
Ответы
Автор ответа:
0
Сорян, но пятое мы ещё не проходили
Приложения:
Похожие вопросы
Предмет: Другие предметы,
автор: iratkacenko
Предмет: История,
автор: artemsviridov260
Предмет: Геометрия,
автор: Димo
Предмет: Математика,
автор: mialolo1234
Предмет: Математика,
автор: 89170911027