Предмет: Математика, автор: luhan1658

Найти неопределенные интегралы.
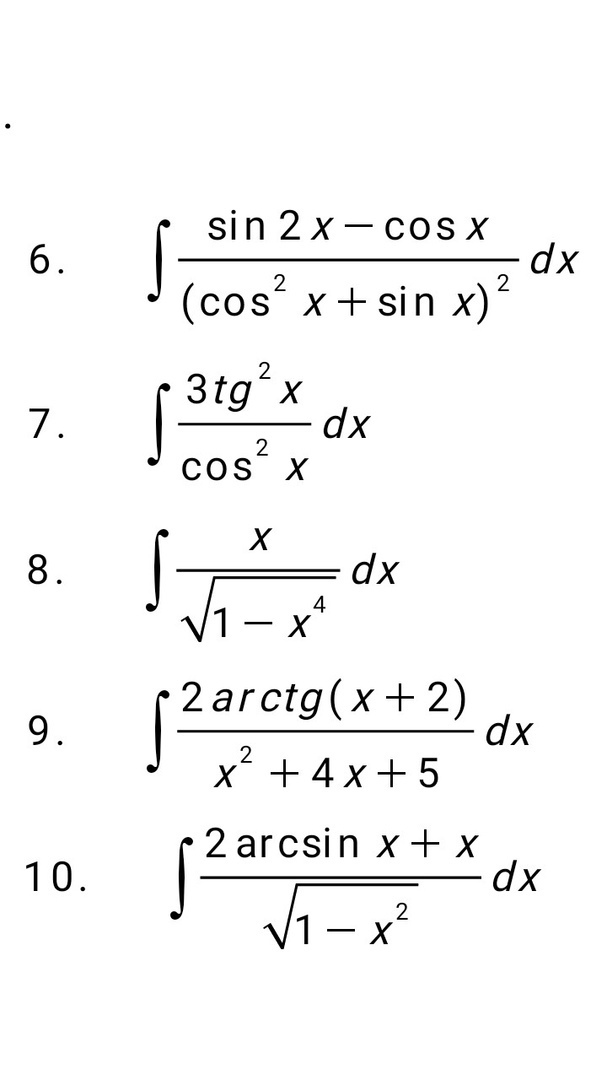
Под цифрой 9.

Приложения:

Ответы

Автор ответа: vedma4ka1604
1

\int {\frac{2arctg(x+2)}{x^2+4x+5}}\, dx=\int {\frac{2arctg(x+2)}{(x^2+4x+4)+1}}\, dx=\int {\frac{2arctg(x+2)}{1+(x+2)^2}}\, dx=\\\\=\int {2arctg(x+2)}\, d(arctg(x+2))=2*arctg^2(x+2)*(1/2)+C=\\\\=arctg^2(x+2)+C

Похожие вопросы
Предмет: Алгебра, автор: vsenet
Предмет: Алгебра, автор: Аноним