Предмет: Математика,
автор: prmvikl
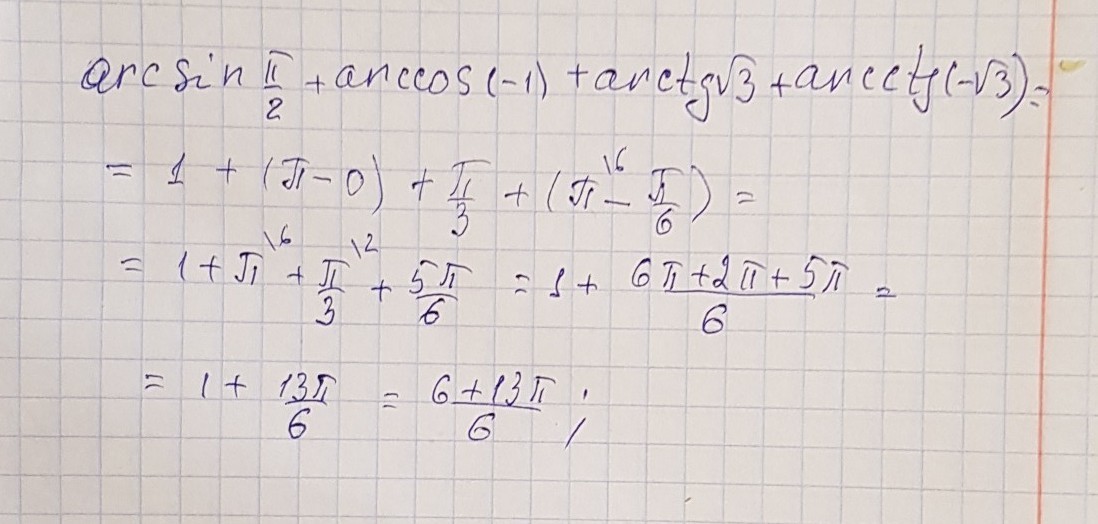
Arcsin π\1+arccos-1+arctg√3+arcctg-√3
1233090:
может arcsin(пи/2)?
Да
Ответы
Автор ответа:
1
решение задания смотри на фотографии
Приложения:
Похожие вопросы
Предмет: Геометрия,
автор: kalbaevislambek444
Предмет: Русский язык,
автор: promaxgg77
Предмет: Алгебра,
автор: saveliishalapanov
Предмет: Физика,
автор: mgladskix
Предмет: География,
автор: Аноним