Предмет: Математика, автор: sibakita

Сделайте 4) пожалуйста))

Приложения:

Ответы

Автор ответа: cofize
0
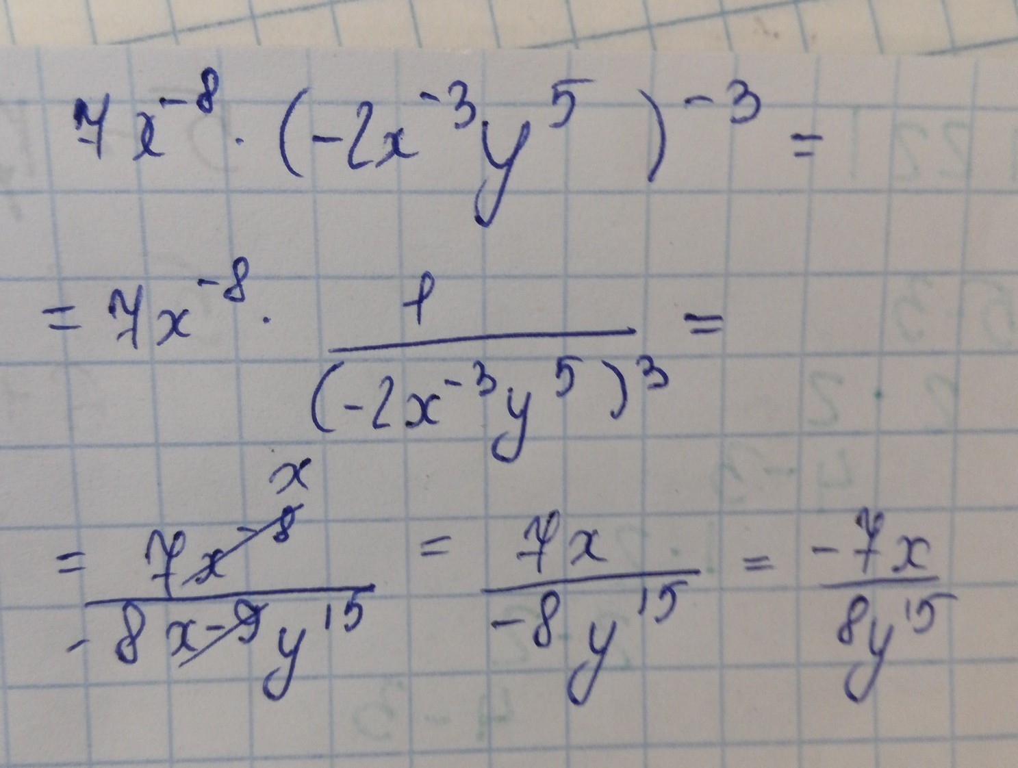
Вот решение и ответ....................
Приложения:
Похожие вопросы
Предмет: Русский язык, автор: zhandosailin0
Предмет: Математика, автор: shugaeva80
Предмет: Математика, автор: anneaquaholic
Предмет: Математика, автор: xivaz
Предмет: Математика, автор: danil479