Предмет: Алгебра,
автор: NoobForce
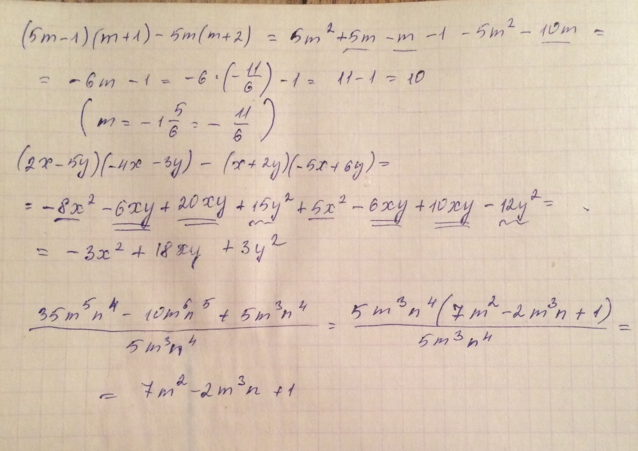
Помогите решить 6-7-8(заранее спасибо)
Приложения:
Ответы
Автор ответа:
0
в 6 и 7 раскрываем скобки и приводим подобные члены. В 8 вынесем общий множитель.
Приложения:
Похожие вопросы
Предмет: Математика,
автор: dianamedkova
Предмет: Математика,
автор: vikaaras7
Предмет: Биология,
автор: yputgggp
Предмет: Геометрия,
автор: Аня564356